Online Database of Chemicals from Around the World

化学品安全技术说明书

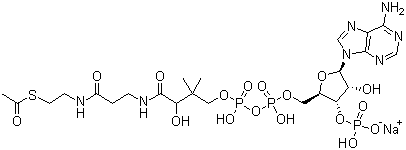
乙酰辅酶 A 钠盐
[ CAS# 102029-73-2 ]

产品概述

structure of CAS# 102029-73-2, 乙酰辅酶 A 钠盐
产品名称 乙酰辅酶 A 钠盐
CAS 登录号 102029-73-2
分子式 C23H37N7NaO17P3S
分子量 831.55
乙酰辅酶 A 钠盐的详细资料
乙酰辅酶 A 钠盐的供应商
 
资料来源 SDS 样本
Sigma-Aldrich
www.sigmaaldrich.com/catalog/Lookup.do?N5=All&N3=mode+matchpartialmax&N1=S_ID&ST=RS&N25=0&F=PR&D7=0&N4=102029-73-2
浏览或下载
Cayman
www.caymanchem.com/msdss/16160m.pdf
浏览或下载

免责声明

本页所列之化学品安全技术说明书样本系 chemBlink 公司搜集的互联网公开信息,仅用于指导化学品安全技术说明书的编辑与制作。chemBlink 竭诚提供可靠信息,然而不承诺其完备与准确。 阅读全文...




相关化学品安全技术说明书
8-溴-6-三氟甲氧基喹啉   1-(4-甲基苯基)-1H-1,2,4-三唑-3-羧酸   4-烯丙基-1,6-庚二烯-4-醇   (R)-4-苄基-2-噁唑烷酮   3-((1,1-二甲基-2-羟基乙基)氨基)-2-羟基丙磺酸钠   L-酪氨酰-L-脯氨酰-L-苯丙氨酰-L-缬氨酰-L-alpha-谷氨酰-L-脯氨酰-L-异亮氨酸   (4aR,6R,7R,7aS)-6-(6-氨基-9H-嘌呤-9-基)四氢-4H-呋喃并[3,2-d][1,3,2]二氧杂环己膦烷e-2,7-二醇2-氧化物-2-氨基-2-(羟基甲基)-1,3-丙烷二醇(1:1)   (2S)-2-氨基-丙酰胺氢溴酸盐(1:1)   丙氨酸-1-13C   腺苷 5'-(三氢二磷酸)环己胺盐