Online Database of Chemicals from Around the World

SDS Samples

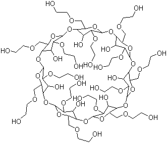
beta-Cyclodextrin 2-hydroxyethyl ethers
[ CAS# 128446-32-2 ]

Product Info

structure of CAS# 128446-32-2, beta-Cyclodextrin 2-hydroxyethyl ethers
Product Name beta-Cyclodextrin 2-hydroxyethyl ethers
CAS Registry Number 128446-32-2
Molecular Formula C70H126O49
Molecular Weight 1751.74
More information of beta-Cyclodextrin 2-hydroxyethyl ethers
Suppliers of beta-Cyclodextrin 2-hydroxyethyl ethers
 
Source SDS Document
Sigma-Aldrich
www.sigmaaldrich.com/catalog/Lookup.do?N5=All&N3=mode+matchpartialmax&N1=S_ID&ST=RS&N25=0&F=PR&D7=0&N4=128446-32-2
View / download

Disclaimer

The SDS samples above are collected from the Internet by chemBlink and displayed here for the tutorial purpose only. chemBlink LLC provides the information contained herein in good faith but makes no representation as to its comprehensiveness or accuracy. Read full context...


More SDS files for chemicals
(S)-(-)-2-(Boc-Amino)-1,4-butanediol   (6-Bromoimidazo[1,2-a]pyridin-3-yl)phenylmethanone   2-Chloromethyl-3-methyl-4-(2,2,2-trifluoroethoxy)pyridine   (Z)-2-(2-Aminothiazole-4-yl-)-2-trityloxyimino acetic acid   4-Bromo-gamma-oxobenzenebutanoic acid 1-methylethyl ester   alpha-Cyclodextrin 2-Hydroxypropyl Ethers   gamma-Cyclodextrin 2-hydroxypropyl ethers   Hydroxypropyl-beta-cyclodextrin    beta-Cyclodextrin methyl ethers   Saccharin sodium