Online Database of Chemicals from Around the World

SDS Samples

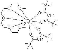
Bis(2,2,6,6-tetramethylheptan-3,5-dionato)(tetraglyme)strontium
[ CAS# 150939-76-7 ]

Product Info

structure of CAS# 150939-76-7, Bis(2,2,6,6-tetramethylheptan-3,5-dionato)(tetraglyme)strontium
Product Name Bis(2,2,6,6-tetramethylheptan-3,5-dionato)(tetraglyme)strontium
CAS Registry Number 150939-76-7
Molecular Formula C32H60O9Sr
Molecular Weight 676.43
More information of Bis(2,2,6,6-tetramethylheptan-3,5-dionato)(tetraglyme)strontium
Suppliers of Bis(2,2,6,6-tetramethylheptan-3,5-dionato)(tetraglyme)strontium
 
Source SDS Document
Strem
www.strem.com/uploads/sds/sd38-1010_US.pdf
View / download
Ereztech
ereztech.com/wp-content/uploads/chemical_sds/SDS-SR9767.pdf
View / download

Disclaimer

The SDS samples above are collected from the Internet by chemBlink and displayed here for the tutorial purpose only. chemBlink LLC provides the information contained herein in good faith but makes no representation as to its comprehensiveness or accuracy. Read full context...


More SDS files for chemicals
L-allo-Isoleucine   N,N-Bis(2-Methylpropyl)-N'-Phenylthiourea   1,1-Dibenzyl-3-Phenylisothiourea   3-Bromo-6-methyl-5-nitro-2-pyridinamine   D-Alloisoleucine   1-(2,4-Dinitrophenyl)-L-prolyl-3-cyclohexyl-L-alanylglycyl-S-methyl-L-cysteinyl-L-histidyl-L-alanyl-N6-[2-(methylamino)benzoyl]-L-lysinamide   Sodium fluoroaluminate   Methyl 3,5-Dibromo-2,4-Dimethoxy-6-Methylbenzoate   3-Hydroxy-3-Methyl-Pentanoic Acid   5-(Trifluoromethyl)-1-indanone