Online Database of Chemicals from Around the World

化学品安全技术说明书

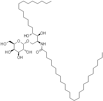
N-[(1S,2S,3R)-1-[(alpha-D-吡喃半乳糖基氧基)甲基]-2,3-二羟基十七烷基]二十六烷酰胺
[ CAS# 158021-47-7 ]

产品概述

structure of CAS# 158021-47-7, N-[(1S,2S,3R)-1-[(alpha-D-吡喃半乳糖基氧基)甲基]-2,3-二羟基十七烷基]二十六烷酰胺
产品名称 N-[(1S,2S,3R)-1-[(alpha-D-吡喃半乳糖基氧基)甲基]-2,3-二羟基十七烷基]二十六烷酰胺
CAS 登录号 158021-47-7
分子式 C50H99NO9
分子量 858.32
N-[(1S,2S,3R)-1-[(alpha-D-吡喃半乳糖基氧基)甲基]-2,3-二羟基十七烷基]二十六烷酰胺的详细资料
N-[(1S,2S,3R)-1-[(alpha-D-吡喃半乳糖基氧基)甲基]-2,3-二羟基十七烷基]二十六烷酰胺的供应商
 
资料来源 SDS 样本
Sigma-Aldrich
www.sigmaaldrich.com/catalog/Lookup.do?N5=All&N3=mode+matchpartialmax&N1=S_ID&ST=RS&N25=0&F=PR&D7=0&N4=158021-47-7
浏览或下载
Cayman
www.caymanchem.com/msdss/11208m.pdf
浏览或下载

免责声明

本页所列之化学品安全技术说明书样本系 chemBlink 公司搜集的互联网公开信息,仅用于指导化学品安全技术说明书的编辑与制作。chemBlink 竭诚提供可靠信息,然而不承诺其完备与准确。 阅读全文...




相关化学品安全技术说明书
氰基(羟基亚胺基)乙酸乙酯钾盐   4'-(4-羧基苯基)-2,2':6',2''-三联吡啶   4-溴-1,3,5-三甲基吡唑   (1R,4aS,12aS)-3-[氨基(羟基)亚甲基]-10-氯-4A,6,7-三羟基-N,N,11-三甲基-2,4,5-三氧代-1,2,3,4,4A,5,12,12A-八氢-1-并四苯铵   四正丁基铵二溴碘化物   3-甲基-4-碘吡唑   3-叔丁基-1H-吡唑   1-甲基-4-溴吡唑   2,3-二羟基喹喔啉   N-苯甲酰基-2'-脱氧-5-碘胞苷