Online Database of Chemicals from Around the World

化学品安全技术说明书

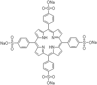
21H,23H-卟啉-5,10,15,20-四对苯磺酸钠
[ CAS# 39050-26-5 ]

产品概述

structure of CAS# 39050-26-5, 21H,23H-卟啉-5,10,15,20-四对苯磺酸钠
产品名称 21H,23H-卟啉-5,10,15,20-四对苯磺酸钠
CAS 登录号 39050-26-5
分子式 C44H26N4O12S4.4Na
分子量 1022.91
21H,23H-卟啉-5,10,15,20-四对苯磺酸钠的详细资料
21H,23H-卟啉-5,10,15,20-四对苯磺酸钠的供应商
 
资料来源 SDS 样本
Strem
www.strem.com/uploads/sds/sd07-2340_US.pdf
浏览或下载

免责声明

本页所列之化学品安全技术说明书样本系 chemBlink 公司搜集的互联网公开信息,仅用于指导化学品安全技术说明书的编辑与制作。chemBlink 竭诚提供可靠信息,然而不承诺其完备与准确。 阅读全文...




相关化学品安全技术说明书
3,11-二氟-6,8,13-三甲基-8H-喹啉并[4,3,2-kl]吖啶鎓硫酸甲酯盐   1-氨基-1-苯基丙酮盐酸盐   2-(丙基氨基)-5-甲氧基-1,2,3,4-四氢萘盐酸盐   2,11,20,29-四叔丁基-2,3-萘酞菁锌   2-氨基组胺   3,4-二乙氧基苯胺   1-(溴甲基)-2-甲基-3-硝基-苯   2-甲基-3-硝基苯甲酰氯   5-乙酰基-2-羟基苯甲腈   4-氯-4'-硝基二苯基砜