Online Database of Chemicals from Around the World

化学品安全技术说明书

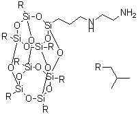
N1-[3-[3,5,7,9,11,13,15-七(2-甲基丙基)五环[9.5.1.1(3,9).1(5,15).1(7,13)]八硅氧烷-1-基]丙基]-1,2-乙二胺
[ CAS# 444315-16-6 ]

产品概述

structure of CAS# 444315-16-6, N1-[3-[3,5,7,9,11,13,15-七(2-甲基丙基)五环[9.5.1.1(3,9).1(5,15).1(7,13)]八硅氧烷-1-基]丙基]-1,2-乙二胺
产品名称 N1-[3-[3,5,7,9,11,13,15-七(2-甲基丙基)五环[9.5.1.1(3,9).1(5,15).1(7,13)]八硅氧烷-1-基]丙基]-1,2-乙二胺
CAS 登录号 444315-16-6
分子式 C33H76N2O12Si8
分子量 917.65
N1-[3-[3,5,7,9,11,13,15-七(2-甲基丙基)五环[9.5.1.1(3,9).1(5,15).1(7,13)]八硅氧烷-1-基]丙基]-1,2-乙二胺的详细资料
N1-[3-[3,5,7,9,11,13,15-七(2-甲基丙基)五环[9.5.1.1(3,9).1(5,15).1(7,13)]八硅氧烷-1-基]丙基]-1,2-乙二胺的供应商
 
资料来源 SDS 样本
Sigma-Aldrich
www.sigmaaldrich.com/catalog/Lookup.do?N5=All&N3=mode+matchpartialmax&N1=S_ID&ST=RS&N25=0&F=PR&D7=0&N4=444315-16-6
浏览或下载

免责声明

本页所列之化学品安全技术说明书样本系 chemBlink 公司搜集的互联网公开信息,仅用于指导化学品安全技术说明书的编辑与制作。chemBlink 竭诚提供可靠信息,然而不承诺其完备与准确。 阅读全文...




相关化学品安全技术说明书
2-碘三氟甲基苯   邻三氟甲基苯酚   1-(4-氟苯基)-2-丙醇   [2,5-二(辛基氧基)-1,4-亚苯基]二甲醇   5,7,8-三羟基黄酮   1,3,5,7,9,11,13-庚异丁基-15-[3-(2-环氧乙烷基甲氧基)丙氧基]五环[9.5.1.13,9.15,15.17,13]八硅氧烷   2-苯二甲酰亚氨基乙烷磺酰胺   6-(1,3-二氧代-1,3-二氢-异吲哚-2-基)-己酸   (5R)-3-(4-溴-3-氟苯基)-5-羟甲基恶唑烷-2-酮   钾丁基(三氟)硼酸酯(1-)