Online Database of Chemicals from Around the World

SDS Samples

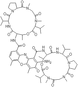
Actinomycin D
[ CAS# 50-76-0 ]

Product Info

structure of CAS# 50-76-0, Actinomycin D
Product Name Actinomycin D
CAS Registry Number 50-76-0
Molecular Formula C62H86N12O16
Molecular Weight 1255.43
More information of Actinomycin D
Suppliers of Actinomycin D
 
Source SDS Document
Alfa-Aesar
www.alfa.com/en/content/msds/USA/J60148.pdf
View / download
Sigma-Aldrich
www.sigmaaldrich.com/catalog/Lookup.do?N5=All&N3=mode+matchpartialmax&N1=S_ID&ST=RS&N25=0&F=PR&D7=0&N4=50-76-0
View / download
Acros-Organics
www.acros.com/DesktopModules/Acros_Search_Results/Acros_Search_Results.aspx?search_type=CAS&SearchString=50-76-0
View / download

Disclaimer

The SDS samples above are collected from the Internet by chemBlink and displayed here for the tutorial purpose only. chemBlink LLC provides the information contained herein in good faith but makes no representation as to its comprehensiveness or accuracy. Read full context...


More SDS files for chemicals
2-Trifluoromethylisopropanol   2-Methyl-3-Hexyn-2-Ol   1,3-Dichloro-1,1,2,2,3-Pentafluoropropane   2,3,4-Trichlorobenzoic acid   1,5-Dimethyl-2-pyrrolidinone   Tetramethyloxirane   Perfluorooctyl iodide   Methyl 3-Iodo-5-Nitrobenzoate   3-Hydroxy-5-iodobenzoic acid   3-Nitrobutyrophenone