Online Database of Chemicals from Around the World

化学品安全技术说明书

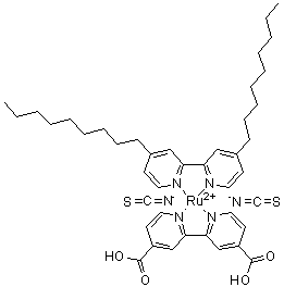
Ruthenium 520DN
[ CAS# 502693-09-6 ]

产品概述

structure of CAS# 502693-09-6, Ruthenium 520DN
产品名称 Ruthenium 520DN
CAS 登录号 502693-09-6
分子式 C42H50N6O4RuS2.2H
分子量 870.10
Ruthenium 520DN的详细资料
Ruthenium 520DN的供应商
 
资料来源 SDS 样本
Sigma-Aldrich
www.sigmaaldrich.com/catalog/Lookup.do?N5=All&N3=mode+matchpartialmax&N1=S_ID&ST=RS&N25=0&F=PR&D7=0&N4=502693-09-6
浏览或下载
TCI
www.spectrumchemical.com/MSDS/TCI-B4373.pdf
浏览或下载

免责声明

本页所列之化学品安全技术说明书样本系 chemBlink 公司搜集的互联网公开信息,仅用于指导化学品安全技术说明书的编辑与制作。chemBlink 竭诚提供可靠信息,然而不承诺其完备与准确。 阅读全文...




相关化学品安全技术说明书
3,4,5-三羟基苯甲酸十六烷基酯   3-(3-噻吩基)-2-丙烯酸乙酯   4-(2,3-环氧丙氧基)-N,N-二(2,3-环氧丙基)苯胺   5-(2-甲基苄基)-4H-1,2,4-三唑-3-胺   植酮   1H-吡咯-2-甲酰肼   2,4,6-三氯-5-嘧啶甲醛   (2E,4E,6E,8E,10E,12E,14E)-2,6,11,15-四甲基-2,4,6,8,10,12,14-十六碳七烯二醛   雌三醇   (羟基甲基)-氨基甲酸乙酯