Online Database of Chemicals from Around the World

化学品安全技术说明书

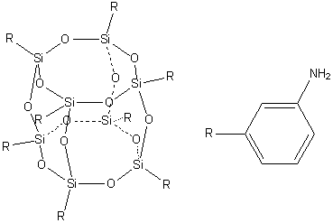
1,3,5,7,9,11,13,15-八(3-氨基苯基)八倍半硅氧烷
[ CAS# 518359-82-5 ]

产品概述

structure of CAS# 518359-82-5, 1,3,5,7,9,11,13,15-八(3-氨基苯基)八倍半硅氧烷
产品名称 1,3,5,7,9,11,13,15-八(3-氨基苯基)八倍半硅氧烷
CAS 登录号 518359-82-5
分子式 C48H48N8O12Si8
分子量 1153.63
1,3,5,7,9,11,13,15-八(3-氨基苯基)八倍半硅氧烷的详细资料
1,3,5,7,9,11,13,15-八(3-氨基苯基)八倍半硅氧烷的供应商
 
资料来源 SDS 样本
Ambeed
file.ambeed.com/static/upload/prosds/am/492/SDS-A491560.pdf
浏览或下载

免责声明

本页所列之化学品安全技术说明书样本系 chemBlink 公司搜集的互联网公开信息,仅用于指导化学品安全技术说明书的编辑与制作。chemBlink 竭诚提供可靠信息,然而不承诺其完备与准确。 阅读全文...




相关化学品安全技术说明书
1,4-二碘-2-(三氟甲基)苯   5-羟基-2-甲氧基吡啶   5-溴-1H-吡唑-3-甲醛   3',5'-二氯-[1,1'-联苯]-4-甲胺盐酸盐   [4-(2-氯苯基)苯基]甲胺盐酸盐   4-(3,4-二甲氧基-苯基)-噻唑-2-胺   N-甲基苯磺酰胺   2-氰基-N-苯乙基-乙酰胺   2-氰基-N-(4-乙氧基-苯基)-乙酰胺   黄蝉花辛