Online Database of Chemicals from Around the World

化学品安全技术说明书

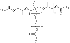
丙氧基化三羟甲基丙烷三丙烯酸酯
[ CAS# 53879-54-2 ]

产品概述

structure of CAS# 53879-54-2, 丙氧基化三羟甲基丙烷三丙烯酸酯
产品名称 丙氧基化三羟甲基丙烷三丙烯酸酯
CAS 登录号 53879-54-2
丙氧基化三羟甲基丙烷三丙烯酸酯的详细资料
丙氧基化三羟甲基丙烷三丙烯酸酯的供应商
 
资料来源 SDS 样本
Sigma-Aldrich
www.sigmaaldrich.com/catalog/Lookup.do?N5=All&N3=mode+matchpartialmax&N1=S_ID&ST=RS&N25=0&F=PR&D7=0&N4=53879-54-2
浏览或下载

免责声明

本页所列之化学品安全技术说明书样本系 chemBlink 公司搜集的互联网公开信息,仅用于指导化学品安全技术说明书的编辑与制作。chemBlink 竭诚提供可靠信息,然而不承诺其完备与准确。 阅读全文...




相关化学品安全技术说明书
(+)-(3aR,4R,5r,6aS)-六氢-5-羟基-4-[(1E,3R)-3-羟基-4-(3-三氟甲基)苯氧基-1-丁烯基]-2H-环戊并[b]呋喃-2-酮   3-溴-2,6-二甲基苯胺   3-苯氧基苄氯   二苄基硫醚   二环己基碳二亚胺   (E,E)-1,4-二苯基丁二烯   洛度沙胺   2-甲基氨基嘧啶-5-羧酸   2-溴苯甲酰乙腈   3-甲基苯甲酰乙腈