Online Database of Chemicals from Around the World

SDS Samples

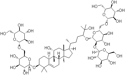
Mogroside V
[ CAS# 88901-36-4 ]

Product Info

structure of CAS# 88901-36-4, Mogroside V
Product Name Mogroside V
CAS Registry Number 88901-36-4
Molecular Formula C60H102O29
Molecular Weight 1287.43
More information of Mogroside V
Suppliers of Mogroside V
 
Source SDS Document
Sigma-Aldrich
www.sigmaaldrich.com/catalog/Lookup.do?N5=All&N3=mode+matchpartialmax&N1=S_ID&ST=RS&N25=0&F=PR&D7=0&N4=88901-36-4
View / download
Cayman
www.caymanchem.com/msdss/19853m.pdf
View / download

Disclaimer

The SDS samples above are collected from the Internet by chemBlink and displayed here for the tutorial purpose only. chemBlink LLC provides the information contained herein in good faith but makes no representation as to its comprehensiveness or accuracy. Read full context...


More SDS files for chemicals
(S)-1-N-Fmoc-2-methylpiperazine   (S)-1-Boc-2-propylpiperazine   Atrial Natriuretic Factor (1-28) (Rat)   Bafilomycin A1   Setamycin   Mogroside III-A1   Mogroside II-A2   Xestospongin C   N-tert-Butyl-3-(2-hydroxypropan-2-yl)-5-oxo-2,5-dihydro-1H-1,2,4-triazole-1-carboxamide   4-(1,3-Dioxo-1H-benzo[de]isoquinolin-2(3H)-yl)butanoic acid