Online Database of Chemicals from Around the World

SDS Samples

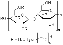
Hydroxypropyl methyl cellulose
[ CAS# 9004-65-3 ]

Product Info

structure of CAS# 9004-65-3, Hydroxypropyl methyl cellulose
Product Name Hydroxypropyl methyl cellulose
CAS Registry Number 9004-65-3
Molecular Weight ~86000
More information of Hydroxypropyl methyl cellulose
Suppliers of Hydroxypropyl methyl cellulose
 
Source SDS Document
Alfa-Aesar
www.alfa.com/en/content/msds/USA/44779.pdf
View / download
Sigma-Aldrich
www.sigmaaldrich.com/catalog/Lookup.do?N5=All&N3=mode+matchpartialmax&N1=S_ID&ST=RS&N25=0&F=PR&D7=0&N4=9004-65-3
View / download
Acros-Organics
www.acros.com/DesktopModules/Acros_Search_Results/Acros_Search_Results.aspx?search_type=CAS&SearchString=9004-65-3
View / download

Disclaimer

The SDS samples above are collected from the Internet by chemBlink and displayed here for the tutorial purpose only. chemBlink LLC provides the information contained herein in good faith but makes no representation as to its comprehensiveness or accuracy. Read full context...


More SDS files for chemicals
Gymnema sylvestre extract   Ethyl cellulose   Hyaluronic acid   Hydroxyethyl Cellulose   Hydroxypropyl cellulose   Iron-dextran    Methyl cellulose   Nitrocellulose   Polymethylhydrosiloxane   Methoxypolyethylene glycols