Online Database of Chemicals from Around the World

SDS Samples

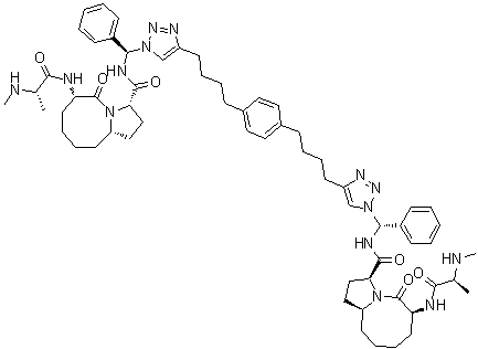
SM 164
[ CAS# 957135-43-2 ]

Product Info

structure of CAS# 957135-43-2, SM 164
Product Name SM 164
CAS Registry Number 957135-43-2
Molecular Formula C62H84N14O6
Molecular Weight 1121.42
More information of SM 164
Suppliers of SM 164
 
Source SDS Document
Ambeed
file.ambeed.com/static/upload/prosds/am/204/SDS-A203870.pdf
View / download

Disclaimer

The SDS samples above are collected from the Internet by chemBlink and displayed here for the tutorial purpose only. chemBlink LLC provides the information contained herein in good faith but makes no representation as to its comprehensiveness or accuracy. Read full context...


More SDS files for chemicals
5-(Ethoxycarbonyl)Thiophene-3-Boronic Acid   1-(2,2-Dimethyl-1-Oxopropyl)-1H-Indole-6-carboxylic Acid Methyl Ester   5-Ethyl-4-methyl-1H-pyrazole-3-carboxylic acid   2,2,4,4,6,6-Hexahydro-2,2,4,4,6,6-hexamethoxy-1,3,5,2,4,6-Triazatriphosphorine   N-(2,4-Dinitro-5-fluorophenyl)-L-alaninamide   4-(2,2,3-Trimethylcyclopentyl)butanoic acid   Boc-D-Serine methyl ester   Methyl (R)-(+)-3-(tert-butoxycarbonyl)-2,2-dimethyl-4-oxazolidinecarboxylate   (R)-(+)-3-Boc-2,2-dimethyloxazolidine-4-carboxaldehyde   2-Methylhydroquinone