Online Database of Chemicals from Around the World

Neospiramycin
[CAS# 102418-06-4]

Suppliers
CAS#: 102418-06-4
Product: Neospiramycin
No suppilers available for the product.
Identification
Name Neospiramycin
Synonyms 2-[(4R,5S,6S,7R,9R,10R,11E,13E,16R)-6-[(2S,3R,4S,5S,6R)-4-Dimethylamino-3,5-Dihydroxy-6-Methyl-Tetrahydropyran-2-Yl]Oxy-10-[(2R,5S,6R)-5-Dimethylamino-6-Methyl-Tetrahydropyran-2-Yl]Oxy-4-Hydroxy-5-Methoxy-9,16-Dimethyl-2-Oxo-1-Oxacyclohexadeca-11,13-Dien-7-Yl]Acetaldehyde; 2-[(4R,5S,6S,7R,9R,10R,11E,13E,16R)-6-[[(2S,3R,4S,5S,6R)-4-Dimethylamino-3,5-Dihydroxy-6-Methyl-2-Tetrahydropyranyl]Oxy]-10-[[(2R,5S,6R)-5-Dimethylamino-6-Methyl-2-Tetrahydropyranyl]Oxy]-4-Hydroxy-5-Methoxy-9,16-Dimethyl-2-Oxo-1-Oxacyclohexadeca-11,13-Dien-7-Yl]Acetaldehyde; 2-[(4R,5S,6S,7R,9R,10R,11E,13E,16R)-6-[(2S,3R,4S,5S,6R)-4-Dimethylamino-3,5-Dihydroxy-6-Methyl-Tetrahydropyran-2-Yl]Oxy-10-[(2R,5S,6R)-5-Dimethylamino-6-Methyl-Tetrahydropyran-2-Yl]Oxy-4-Hydroxy-2-Keto-5-Methoxy-9,16-Dimethyl-1-Oxacyclohexadeca-11,13-Dien-7-Yl]Acetaldehyde
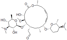
Molecular Structure CAS#: 102418-06-4, Neospiramycin
Molecular Formula C36H62N2O11
Molecular Weight 698.89
CAS Registry Number 102418-06-4
SMILES [C@@H]3(O[C@@H]2[C@@H](OC)[C@H](O)CC(O[C@@H](C/C=C/C=C/[C@H](O[C@@H]1O[C@@H]([C@@H](N(C)C)CC1)C)[C@@H](C[C@@H]2CC=O)C)C)=O)O[C@@H]([C@@H](O)[C@H](N(C)C)[C@H]3O)C
InChI 1S/C36H62N2O11/c1-21-19-25(17-18-39)34(49-36-33(43)31(38(7)8)32(42)24(4)47-36)35(44-9)27(40)20-29(41)45-22(2)13-11-10-12-14-28(21)48-30-16-15-26(37(5)6)23(3)46-30/h10-12,14,18,21-28,30-36,40,42-43H,13,15-17,19-20H2,1-9H3/b11-10+,14-12+/t21-,22-,23-,24-,25+,26+,27-,28+,30+,31+,32-,33-,34+,35+,36+/m1/s1
InChIKey SUBWVHAACKTENX-XLGVTROISA-N
Market Analysis Reports
List of Reports Available for Neospiramycin
Related Products
2-Chloro-N,N-Bis(2-Chloropropyl)Propan-1...  6-Amino-1,5-Anhydro-6-Deoxyglucitol  [(3-Methylphenyl)Amino]Methanesulfonic A...  6-Methyl-2-Oxochromene-3-Carboxylic Acid  3-Carboxy-N-Hydroxy-2-Oxochromen-6-Amine...  (1-Oxidopyridin-1-Ium-2-Yl)Methanol  [mu-[[3,3'-Methylenebis[6-[[5-[(2,4-Disu...  Paldimycin  1,5-Bis(6-Methyl-4-Pyrimidyl)Carbazone  3-Bromo-2-Methyl-1-Benzothiophene  N-(4-Chlorobenzyl)-2-(1H-Imidazol-1-Ylme...  3-Cyanomethyl-1-(1-Naphthyl)Urea  (2-(2,6-Dichlorophenoxy)Ethyl)Urea  1-(4,7-Dimethoxy-6-(2-(Dimethylamino)Pro...  1,1-Dimethyl-3-Nitroso-3-[3-(Trifluorome...