Online Database of Chemicals from Around the World

Scytophycin A
[CAS# 104653-87-4]

Suppliers
CAS#: 104653-87-4
Product: Scytophycin A
No suppilers available for the product.
Identification
Name Scytophycin A
Synonyms N-[(E,3R,4R,5S,9R,10S,11S)-6,10-Dihydroxy-11-[(1S,3S,5S,7R,8S,12Z,14Z,17S,19R)-17-Hydroxy-3,5,7-Trimethoxy-8,14-Dimethyl-11-Oxo-Spiro[10,23-Dioxabicyclo[17.3.1]Tricosa-12,14,20-Triene-4,2'-Oxirane]-9-Yl]-4-Methoxy-3,5,9-Trimethyl-Dodec-1-Enyl]-N-Methyl-Formamide; N-[(E,3R,4R,5S,9R,10S,11S)-6,10-Dihydroxy-11-[(1S,3S,5S,7R,8S,12Z,14Z,17S,19R)-17-Hydroxy-3,5,7-Trimethoxy-8,14-Dimethyl-11-Oxo-9-Spiro[10,23-Dioxabicyclo[17.3.1]Tricosa-12,14,20-Triene-4,2'-Oxirane]Yl]-4-Methoxy-3,5,9-Trimethyldodec-1-Enyl]-N-Methylformamide; N-[(E,3R,4R,5S,9R,10S,11S)-6,10-Dihydroxy-11-[(1S,3S,5S,7R,8S,12Z,14Z,17S,19R)-17-Hydroxy-11-Keto-3,5,7-Trimethoxy-8,14-Dimethyl-Spiro[10,23-Dioxabicyclo[17.3.1]Tricosa-12,14,20-Triene-4,2'-Oxirane]-9-Yl]-4-Methoxy-3,5,9-Trimethyl-Dodec-1-Enyl]-N-Methyl-Formamide
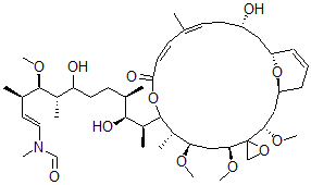
Molecular Structure CAS#: 104653-87-4, Scytophycin A
Molecular Formula C45H75NO12
Molecular Weight 822.09
CAS Registry Number 104653-87-4
SMILES [C@@H]2(OC)C1(OC1)[C@@H](OC)C[C@@H](OC)[C@@H](C(OC(=O)\C=C/C(=C\C[C@H](O)C[C@H]3O[C@H](C2)CC=C3)C)[C@H]([C@@H](O)[C@@H](CCC(O)[C@@H]([C@H](OC)[C@@H](\C=C\N(C=O)C)C)C)C)C)C
InChI 1S/C45H75NO12/c1-28-15-18-34(48)23-35-13-12-14-36(57-35)24-39(53-9)45(26-56-45)40(54-10)25-38(52-8)32(5)44(58-41(50)20-16-28)33(6)42(51)29(2)17-19-37(49)31(4)43(55-11)30(3)21-22-46(7)27-47/h12-13,15-16,20-22,27,29-40,42-44,48-49,51H,14,17-19,23-26H2,1-11H3/b20-16-,22-21+,28-15-/t29-,30-,31+,32+,33+,34+,35+,36+,37?,38-,39+,40+,42+,43-,44?,45?/m1/s1
InChIKey CYZZFSCFKCNCLO-XPIRJXRNSA-N
Market Analysis Reports
List of Reports Available for Scytophycin A
Related Products
Fusarochromanone  3-(4-Chlorophenyl)Chromen-2-One  2-Nitroanthra(2,1-b)Furan  2-Nitroanthra(1,2-b)Furan  Dnp-gamma-Amino-N-Butyric Acid  6,7-Dimethoxy-4-(4'-Amino-3'-Iodobenzyl)...  4-Amino-3,5-Dichlorophenyl-4-((2,3,4-Tri...  2,6-Dichloro-4-[2-[4-[(2,3,4-Trimethoxyp...  [(2R)-1-[2-(Hexadecanoylamino)Ethoxy-Hyd...  9-(Phenylmethylamino)-1,2,3,4-Tetrahydro...  2-(5-Methylthiophen-3-Yl)-1H-Pyrazolo[4,...  Cadmium Dioleate  Methoxymecambridine  3-[4-[4-(3-Methylphenyl)Piperazin-1-Yl]B...  3,4-Dihydro-2,5,8-Trimethyl-1(2H)-Naphth...