Online Database of Chemicals from Around the World

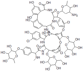
氯多孢菌素B
[CAS# 105650-11-1]

供应商
CAS#: 105650-11-1
产品: 氯多孢菌素B
暂时没有厂家供应该产品。
基本信息
产品名称 氯多孢菌素B
英文名 Chloropolysporin B
别名 Chloropolysporin B; 10,49-Dichloro-2D-O-De(3-Amino-2,3,6-Trideoxy-Alpha-L-Ribo-Hexopyranosyl)Avoparcin Alpha; Avoparcin Alpha, 10,49-Dichloro-2(Sup D)-O-De(3-Amino-2,3,6-Tridexoy-Alpha-L-Ribo-Hexopyranosyl)-
分子结构 CAS 登录号:105650-11-1, 氯多孢菌素B
分子式 C83H89Cl3N8O34
分子量 1849.01
CAS 登录号 105650-11-1
分子行输入简码 SMILES C1=C%11C(=C(O)C=C1O)C2=C(O)C=CC(=C2)C%10NC(=O)C6NC(=O)C(NC(=O)C(NC(=O)C(NC)C4=CC=C(OC3OC(C(O)C(O)C3O)C)C=C4)C(OC5OC(C(O)C(O)C5O)CO)C%13=CC(=C(OC7=CC6=CC(=C7OC8OC(C(O)C(O)C8O)CO)OC%12=CC=C(C(OC9OC(C(O)C(N)C9)C)C(NC%10=O)C(=O)NC%11C(=O)O)C=C%12Cl)C=C%13)Cl)C%14=CC=C(O)C(=C%14)Cl
国际化学标识码 InChI 1S/C83H89Cl3N8O34/c1-27-61(101)42(87)24-52(119-27)126-71-32-8-14-46(40(85)18-32)122-48-20-34-21-49(73(48)128-83-70(110)67(107)64(104)51(26-96)125-83)123-47-15-9-33(19-41(47)86)72(127-82-69(109)66(106)63(103)50(25-95)124-82)60(93-74(111)54(88-3)29-4-10-36(11-5-29)121-81-68(108)65(105)62(102)28(2)120-81)78(115)90-56(31-7-13-44(99)39(84)17-31)75(112)91-57(34)77(114)89-55-30-6-12-43(98)37(16-30)53-38(22-35(97)23-45(53)100)58(80(117)118)92-79(116)59(71)94-76(55)113/h4-23,27-28,42,50-52,54-72,81-83,88,95-110H,24-26,87H2,1-3H3,(H,89,114)(H,90,115)(H,91,112)(H,92,116)(H,93,111)(H,94,113)(H,117,118)
国际化学标识检索码 InChIKey PCGBWZQZOMMXGB-UHFFFAOYSA-N
物理化学性质
密度 1.76g/cm3 (计算值)
市场分析报告
请浏览氯多孢菌素B市场分析报告总目录
相关产品
氯多孢菌素C  L-苏氨酰-L-alpha-谷氨酰-L-天冬氨酰胺...  2-氨基-3-叠氮基丙酸  4-[4-[(2-氯苯基)偶氮]-4,5-二氢-3...  N-(2,6-二甲基苯基)-3-[2-(二(丙-2...  1-乙氧羰基十五烷基-三甲基-溴化铵  (3Z)-3-脒基丙烯酸  (E)-N-[2-[2-[[(E)-辛-2-烯酰基...  2,3,4,5-四(苯基)呋喃  (3aR,4R,6S,7R,7aR)-4-甲氧基-...  (3aR,4R,6S,7S,7aR)-4-甲氧基-...  2-[[(2S,3S)-2-[[2-[[(2S)-...  苯基硫代海因-谷氨酰胺  N,N'-二(4-溴苯基)丙烷二酰胺  5,7-二甲基苯并[c]吖啶