Online Database of Chemicals from Around the World

强游菌素A
[CAS# 106153-36-0]

供应商
CAS#: 106153-36-0
产品: 强游菌素A
暂时没有厂家供应该产品。
基本信息
产品名称 强游菌素A
英文名 Viriplanin A
别名 Viriplanin A
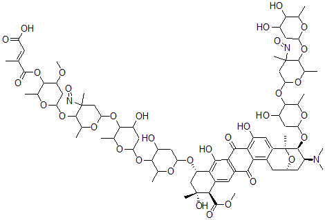
分子结构 CAS 登录号:106153-36-0, 强游菌素A
分子式 C80H111N3O34
分子量 1658.76
CAS 登录号 106153-36-0
分子行输入简码 SMILES [C@@]15(O[C@H](C[C@H](N(C)C)[C@@H]1OC4OC(C(OC3OC(C(OC2OC(C(O)C(O)C2)C)C(N=O)(C3)C)C)C(O)C4)C)CC6=C7C(=C(O)C=C56)C(=O)C%13=C(C7=O)C=C%12[C@H]([C@](O)(C[C@H](OC%11OC(C(OC%10OC(C(OC9OC(C(OC8OC(C(OC(=O)C(/C)=C/C(O)=O)C(OC)C8)C)C(N=O)(C9)C)C)C(O)C%10)C)C(O)C%11)C)C%12=C%13O)C)C(OC)=O)C
国际化学标识码 InChI 1S/C80H111N3O34/c1-30(17-51(89)90)75(95)116-71-35(6)106-56(26-49(71)100-15)114-73-37(8)108-58(29-78(73,10)82-99)111-69-33(4)104-53(24-47(69)87)110-68-32(3)103-52(23-46(68)86)109-50-27-79(11,97)63(76(96)101-16)40-20-41-61(66(93)59(40)50)67(94)62-44(84)21-42-39(60(62)65(41)92)18-38-19-43(83(13)14)74(80(42,12)117-38)115-55-25-48(88)70(34(5)105-55)112-57-28-77(9,81-98)72(36(7)107-57)113-54-22-45(85)64(91)31(2)102-54/h17,20-21,31-38,43,45-50,52-58,63-64,68-74,84-88,91,93,97H,18-19,22-29H2,1-16H3,(H,89,90)/b30-17+/t31?,32?,33?,34?,35?,36?,37?,38-,43-,45?,46?,47?,48?,49?,50-,52?,53?,54?,55?,56?,57?,58?,63-,64?,68?,69?,70?,71?,72?,73?,74-,77?,78?,79+,80+/m0/s1
国际化学标识检索码 InChIKey BYKZIESBUJUBPO-DQCTYACXSA-N
物理化学性质
密度 1.592g/cm3 (计算值)
市场分析报告
请浏览强游菌素A市场分析报告总目录
相关产品
薯蓣皂素乙酸盐  (E)-12-羟基-N-(2-羟基乙基)十八碳-9...  (4-氯苯基)-环己基甲醇  (2S,4R,5R,6R)-6-[(1R)-2-氨...  1-(1,3-苯并二氧戊环-5-基)-4,4-二甲...  (2R,3R,4S,5S)-2-(4-氨基咪唑并[...  二(苯基)锑基硫基-二(苯基)-巯基膦烷  4-[乙基-[2-(1H-吲哚-3-基)乙基]氨基...  N-[5-氨基-4-[4-氨基-3,5-二羟基-6...  N-[5-氨基-2-[3-(氨基甲基)-4,5,6...  碘吗啡  2-(1-铵双环[2.2.2]辛烷-7-基甲基)萘...  乙基(5-氟-2,4-二氧代嘧啶-1-基)甲基碳酸...  2-氟-5-羟基-3,6-二甲基吡啶-4-甲醛  4-[(2-氯乙酰基)氨基]苯甲丁基酯