Online Database of Chemicals from Around the World

tert-Butyloxycarbonyl-aminoisobutyryl-valyl-aminoisobutyryl-aminoisobutyryl-valyl-valyl-valyl-aminoisobutyryl-valyl-aminoisobutyryl methyl ester
[CAS# 106777-22-4]

Suppliers
CAS#: 106777-22-4
Product: tert-Butyloxycarbonyl-aminoisobutyryl-valyl-aminoisobutyryl-aminoisobutyryl-valyl-valyl-valyl-aminoisobutyryl-valyl-aminoisobutyryl methyl ester
No suppilers available for the product.
Identification
Name tert-Butyloxycarbonyl-aminoisobutyryl-valyl-aminoisobutyryl-aminoisobutyryl-valyl-valyl-valyl-aminoisobutyryl-valyl-aminoisobutyryl methyl ester
Synonyms Methyl 2-[[(2S)-2-[[2-[[(2S)-2-[[(2S)-2-[[(2S)-2-[[2-[[2-[[(2S)-2-[[2-(Tert-Butoxycarbonylamino)-2-Methyl-Propanoyl]Amino]-3-Methyl-Butanoyl]Amino]-2-Methyl-Propanoyl]Amino]-2-Methyl-Propanoyl]Amino]-3-Methyl-Butanoyl]Amino]-3-Methyl-Butanoyl]Amino]-3-Methyl-Butanoyl]Amino]-2-Methyl-Propanoyl]Amino]-3-Methyl-Butanoyl]Amino]-2-Methyl-Propanoate; 2-[[(2S)-2-[[2-[[(2S)-2-[[(2S)-2-[[(2S)-2-[[2-[[2-[[(2S)-2-[[2-[(Tert-Butoxy-Oxomethyl)Amino]-2-Methyl-1-Oxopropyl]Amino]-3-Methyl-1-Oxobutyl]Amino]-2-Methyl-1-Oxopropyl]Amino]-2-Methyl-1-Oxopropyl]Amino]-3-Methyl-1-Oxobutyl]Amino]-3-Methyl-1-Oxobutyl]Amino]-3-Methyl-1-Oxobutyl]Amino]-2-Methyl-1-Oxopropyl]Amino]-3-Methyl-1-Oxobutyl]Amino]-2-Methylpropanoic Acid Methyl Ester; 2-[[(2S)-2-[[2-[[(2S)-2-[[(2S)-2-[[(2S)-2-[[2-[[2-[[(2S)-2-[[2-(Tert-Butoxycarbonylamino)-2-Methyl-Propanoyl]Amino]-3-Methyl-Butanoyl]Amino]-2-Methyl-Propanoyl]Amino]-2-Methyl-Propanoyl]Amino]-3-Methyl-Butanoyl]Amino]-3-Methyl-Butanoyl]Amino]-3-Methyl-Butanoyl]Amino]-2-Methyl-Propanoyl]Amino]-3-Methyl-Butanoyl]Amino]-2-Methyl-Propionic Acid Methyl Ester
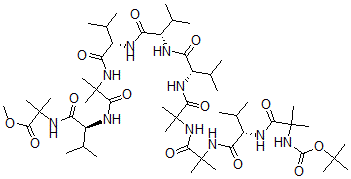
Molecular Structure CAS#: 106777-22-4, tert-Butyloxycarbonyl-aminoisobutyryl-valyl-aminoisobutyryl-aminoisobutyryl-valyl-valyl-valyl-aminoisobutyryl-valyl-aminoisobutyryl methyl ester
Molecular Formula C51H92N10O13
Molecular Weight 1053.35
CAS Registry Number 106777-22-4
SMILES [C@H](C(NC(C(=O)OC)(C)C)=O)(NC(C(NC([C@@H](NC([C@@H](NC([C@@H](NC(C(NC(C(NC([C@@H](NC(C(NC(=O)OC(C)(C)C)(C)C)=O)C(C)C)=O)(C)C)=O)(C)C)=O)C(C)C)=O)C(C)C)=O)C(C)C)=O)(C)C)=O)C(C)C
InChI 1S/C51H92N10O13/c1-25(2)30(35(62)53-32(27(5)6)37(64)57-47(14,15)40(67)55-34(29(9)10)39(66)59-51(22,23)44(71)73-24)52-36(63)31(26(3)4)54-41(68)48(16,17)60-43(70)50(20,21)58-38(65)33(28(7)8)56-42(69)49(18,19)61-45(72)74-46(11,12)13/h25-34H,1-24H3,(H,52,63)(H,53,62)(H,54,68)(H,55,67)(H,56,69)(H,57,64)(H,58,65)(H,59,66)(H,60,70)(H,61,72)/t30-,31-,32-,33-,34-/m0/s1
InChIKey YDLOIAXXVVOSFD-LJADHVKFSA-N
Properties
Density 1.116g/cm3 (Cal.)
Boiling point 1228.946°C at 760 mmHg (Cal.)
Flash point 697.042°C (Cal.)
Market Analysis Reports
List of Reports Available for tert-Butyloxycarbonyl-aminoisobutyryl-valyl-aminoisobutyryl-aminoisobutyryl-valyl-valyl-valyl-aminoisobutyryl-valyl-aminoisobutyryl methyl ester
Related Products
1-[2-(1,3-Dioxolan-2-Yl)Ethyl]-4-[(E,3E)...  4-Diethoxyphosphorylbutan-2-One  N-(2-Diethylaminoethyl)-4-Iodobenzamide  1-(2-Fluorophenyl)Cyclohexane-1-Carbonit...  Tris(3-Chloropropyl) Phosphate  4-(Diethoxy-Methylsilyl)Butanenitrile  (2R)-2-[(2R,5S,6R)-6-[(3E,5E)-6-[(3aR,4S...  1-Diethoxyphosphoryloctane  [(5R,7R,8R,9R,10S,11R,13S,17S)-17-[(2S,3...  1,3-Bis[8-[3-(2-Acetyloxyoctyl)Oxiran-2-...  15-Hydroxydihydrokaurenoic acid methyl e...  Bis[3-[6,7,8-Trimethoxy-2-Methyl-1-[(3,4...  9,21-Didehydroryanodol  (Amino-Ethoxyphosphoryl)Oxyethane  Methyl 5-Chloro-2-[(2R,3R,4S,5R)-3,4-Dih...