Online Database of Chemicals from Around the World

1-去氨基-(4-叠氮基苯甲酰基)赖氨酰(7)-精氨酰(8)-催产加压素
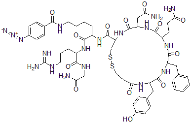
[CAS# 109064-94-0]

供应商
CAS#: 109064-94-0
产品: 1-去氨基-(4-叠氮基苯甲酰基)赖氨酰(7)-精氨酰(8)-催产加压素
暂时没有厂家供应该产品。
基本信息
产品名称 1-去氨基-(4-叠氮基苯甲酰基)赖氨酰(7)-精氨酰(8)-催产加压素
英文名 1-Desamino-(4-Azidobenzoyl)Lys(7)-Arg(8)-Vasotocin
别名 Vasotocin, 1-Deamino-(4-Azidobenzoyl)Lysyl(7)-Arginine(8)-; Vasotocin, 1-Desamino-(4-Azidobenzoyl)Lys(7)-Arg(8)-; D7-N3-Avt
分子结构 CAS 登录号:109064-94-0, 1-去氨基-(4-叠氮基苯甲酰基)赖氨酰(7)-精氨酰(8)-催产加压素
分子式 C54H72N18O13S2
分子量 1245.40
CAS 登录号 109064-94-0
分子行输入简码 SMILES [N+](=NC4=CC=C(C(NCCCCC(NC(=O)C2NC(C(CC(N)=O)NC(C(CCC(N)=O)NC(C(NC(C(CC1=CC=C(C=C1)O)NC(CCSSC2)=O)=O)CC3=CC=CC=C3)=O)=O)=O)C(=O)NC(C(NCC(N)=O)=O)CCCNC(N)=N)=O)C=C4)=[N-]
国际化学标识码 InChI 1S/C54H72N18O13S2/c55-42(74)20-19-37-49(81)69-40(27-43(56)75)52(84)70-41(29-87-86-24-21-45(77)64-38(26-31-11-17-34(73)18-12-31)50(82)68-39(51(83)67-37)25-30-7-2-1-3-8-30)53(85)66-36(9-4-5-22-61-46(78)32-13-15-33(16-14-32)71-72-60)48(80)65-35(10-6-23-62-54(58)59)47(79)63-28-44(57)76/h1-3,7-8,11-18,35-41,73H,4-6,9-10,19-29H2,(H2,55,74)(H2,56,75)(H2,57,76)(H,61,78)(H,63,79)(H,64,77)(H,65,80)(H,66,85)(H,67,83)(H,68,82)(H,69,81)(H,70,84)(H4,58,59,62)
国际化学标识检索码 InChIKey UKZSKISVPBZZOE-UHFFFAOYSA-N
市场分析报告
请浏览1-去氨基-(4-叠氮基苯甲酰基)赖氨酰(7)-精氨酰(8)-催产加压素市场分析报告总目录
相关产品
N-(((4-苯甲酰基氨基)苯基)磺酰基)甘氨酸  维吉霉素丁内酯B  维吉霉素丁内酯C  27-羟基阿维菌素  1'-甲基螺[四氢萘-2,3'-吡咯烷]-2',5...  毒芹醇  beta-丁子香酮  苯基(3,4,4-三甲基二氧杂环丁-3-基)甲基碳...  5-苯甲酰胺基-2-苄基-4-氧代-戊酸  3-羟基-5-氧代己酸  3-丙基氨基-5-羟基色满  5-(1,3-苯并二氧戊环-5-基)-N,N-二甲...  5-(二(2-氯乙基)氨基)-2-硝基苯并呋喃  6-(二(2-氯乙基)氨基)-2-硝基苯并呋喃  7-(二(2-氯乙基)氨基)-4-甲氧基-2-硝基...