Online Database of Chemicals from Around the World

乳糖酰基鞘糖脂
[CAS# 109785-20-8]

供应商
Glentham Life Sciences 英国 询价快递  
+44 (2033) 978-798
info@glenthamls.com
化学品供销商(2013 年起)
International Laboratory Limited 美国 询价快递  
+1 (650) 278-9963
admin@intlab.org
化学品生产商(2002 年起)
基本信息
产品名称 乳糖酰基鞘糖脂
英文名 Lactosyl Lysosphingolipid
别名 (2S,3R,4S,5R,6R)-2-[(2R,3S,4R,5R,6R)-6-[(E,2S,3R)-2-Amino-3-Hydroxy-Octadec-4-Enoxy]-4,5-Dihydroxy-2-(Hydroxymethyl)Tetrahydropyran-3-Yl]Oxy-6-(Hydroxymethyl)Tetrahydropyran-3,4,5-Triol; (2S,3R,4S,5R,6R)-2-[[(2R,3S,4R,5R,6R)-6-[(E,2S,3R)-2-Amino-3-Hydroxyoctadec-4-Enoxy]-4,5-Dihydroxy-2-(Hydroxymethyl)-3-Tetrahydropyranyl]Oxy]-6-(Hydroxymethyl)Tetrahydropyran-3,4,5-Triol; (2S,3R,4S,5R,6R)-2-[(2R,3S,4R,5R,6R)-6-[(E,2S,3R)-2-Amino-3-Hydroxy-Octadec-4-Enoxy]-4,5-Dihydroxy-2-Methylol-Tetrahydropyran-3-Yl]Oxy-6-Methylol-Tetrahydropyran-3,4,5-Triol
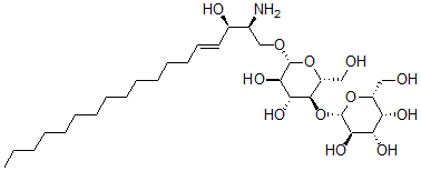
分子结构 CAS 登录号:109785-20-8, 乳糖酰基鞘糖脂
分子式 C30H57NO12
分子量 623.78
CAS 登录号 109785-20-8
分子行输入简码 SMILES [C@H]2(O[C@@H]1O[C@@H]([C@H](O)[C@H](O)[C@H]1O)CO)[C@H](O)[C@@H](O)[C@@H](O[C@@H]2CO)OC[C@H](N)[C@H](O)\C=C\CCCCCCCCCCCCC
国际化学标识码 InChI 1S/C30H57NO12/c1-2-3-4-5-6-7-8-9-10-11-12-13-14-15-20(34)19(31)18-40-29-27(39)25(37)28(22(17-33)42-29)43-30-26(38)24(36)23(35)21(16-32)41-30/h14-15,19-30,32-39H,2-13,16-18,31H2,1H3/b15-14+/t19-,20+,21+,22+,23-,24-,25+,26+,27+,28+,29+,30-/m0/s1
国际化学标识检索码 InChIKey MQKSCOKUMZMISB-GPWKTZPCSA-N
物理化学性质
密度 1.279g/cm3 (计算值)
沸点 845.823°C at 760 mmHg (计算值)
闪点 465.337°C (计算值)
安全数据
SDS 化学品安全技术说明书参考文本
市场分析报告
请浏览乳糖酰基鞘糖脂市场分析报告总目录
相关产品
人参萜醇B  N-(2,5-二氯苯基)-己氧基氨基磷酸  [4-[(E)-2-(8,8-二甲基-6,7-二氢...  (2S)-2-[[(2S)-2-氨基-4-甲基戊酰...  3-(3,6-二氢-2H-吡啶-1-鎓-4-基)-...  3-[1-(环丙基甲基)-3,6-二氢-2H-吡啶...  预处理-促甲状腺激素释放激素(53-74)  [(2S,3S,4R)-1,2,4-三羟基-5-氧...  3-硝基-N-十八烷基苯甲酰胺  N-[5-(4-氨基苯氧基)戊基]-2-甲氧基苯甲...  2-二甲基氨基乙基N-(2-乙氧基苯基)-N-苯基...  N-[5-(4-氨基苯氧基)戊基]-3-甲氧基苯甲...  2-二甲基氨基乙基N-(3-乙氧基苯基)-N-苯基...  4-庚-2-炔基-4-丙-2-炔基哌嗪-4-鎓-1...  扎达来特马来酸盐