Online Database of Chemicals from Around the World

肉质雪胆皂苷VI
[CAS# 109985-95-7]

供应商
CAS#: 109985-95-7
产品: 肉质雪胆皂苷VI
暂时没有厂家供应该产品。
基本信息
产品名称 肉质雪胆皂苷VI
英文名 Carnosifloside VI
别名 (2R,3R,4S,5S,6R)-2-[[(3S,8S,9R,10R,11R,13R,14S,17R)-17-[(E,1R)-1,5-Dimethyl-6-[(2R,3R,4S,5S,6R)-3,4,5-Trihydroxy-6-[[(2R,3R,4S,5S,6R)-3,4,5-Trihydroxy-6-(Hydroxymethyl)Tetrahydropyran-2-Yl]Oxymethyl]Tetrahydropyran-2-Yl]Oxy-Hex-4-Enyl]-11-Hydroxy-4,4,9,13,14-Pentamethyl-2,3,7,8,10,11,12,15,16,17-Decahydro-1H-Cyclopenta[A]Phenanthren-3-Yl]Oxy]-6-(Hydroxymethyl)Tetrahydropyran-3,4,5-Triol; (2R,3R,4S,5S,6R)-2-[[(3S,8S,9R,10R,11R,13R,14S,17R)-17-[(E,1R)-1,5-Dimethyl-6-[[(2R,3R,4S,5S,6R)-3,4,5-Trihydroxy-6-[[(2R,3R,4S,5S,6R)-3,4,5-Trihydroxy-6-(Hydroxymethyl)-2-Tetrahydropyranyl]Oxymethyl]-2-Tetrahydropyranyl]Oxy]Hex-4-Enyl]-11-Hydroxy-4,4,9,13,14-Pentamethyl-2,3,7,8,10,11,12,15,16,17-Decahydro-1H-Cyclopenta[A]Phenanthren-3-Yl]Oxy]-6-(Hydroxymethyl)Tetrahydropyran-3,4,5-Triol; (2R,3R,4S,5S,6R)-2-[[(3S,8S,9R,10R,11R,13R,14S,17R)-17-[(E,1R)-1,5-Dimethyl-6-[(2R,3R,4S,5S,6R)-3,4,5-Trihydroxy-6-[[(2R,3R,4S,5S,6R)-3,4,5-Trihydroxy-6-Methylol-Tetrahydropyran-2-Yl]Oxymethyl]Tetrahydropyran-2-Yl]Oxy-Hex-4-Enyl]-11-Hydroxy-4,4,9,13,14-Pentamethyl-2,3,7,8,10,11,12,15,16,17-Decahydro-1H-Cyclopenta[A]Phenanthren-3-Yl]Oxy]-6-Methylol-Tetrahydropyran-3,4,5-Triol
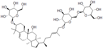
分子结构 CAS 登录号:109985-95-7, 肉质雪胆皂苷VI
分子式 C48H80O18
分子量 945.15
CAS 登录号 109985-95-7
分子行输入简码 SMILES [C@]25([C@]([C@@H]1CC=C4[C@H]([C@@]1([C@@H](C2)O)C)CC[C@H](O[C@H]3[C@@H]([C@@H](O)[C@@H]([C@H](O3)CO)O)O)C4(C)C)(CC[C@@H]5[C@@H](CC/C=C(/CO[C@H]6[C@@H]([C@@H](O)[C@@H]([C@H](O6)CO[C@H]7[C@@H]([C@@H](O)[C@@H]([C@H](O7)CO)O)O)O)O)C)C)C)C
国际化学标识码 InChI 1S/C48H80O18/c1-22(20-61-42-40(59)38(57)35(54)29(65-42)21-62-43-39(58)36(55)33(52)27(18-49)63-43)9-8-10-23(2)24-15-16-46(5)30-13-11-25-26(48(30,7)31(51)17-47(24,46)6)12-14-32(45(25,3)4)66-44-41(60)37(56)34(53)28(19-50)64-44/h9,11,23-24,26-44,49-60H,8,10,12-21H2,1-7H3/b22-9+/t23-,24-,26-,27-,28-,29-,30+,31-,32+,33-,34-,35-,36+,37+,38+,39-,40-,41-,42-,43-,44+,46+,47-,48+/m1/s1
国际化学标识检索码 InChIKey WWDDJYHDZQBKBW-POHRRBMFSA-N
物理化学性质
密度 1.393g/cm3 (计算值)
沸点 1026.937°C at 760 mmHg (计算值)
闪点 574.871°C (计算值)
市场分析报告
请浏览肉质雪胆皂苷VI市场分析报告总目录
相关产品
4,5-二氢-1H-吡唑  3-(癸基氧基)-2,7,8-三羟基-(1)苯并吡...  (6R,7R)-7-[[2-(3-氯-1,2-恶唑...  [4-[1-[4-(3-氯丙酰基氧基)苯基]-2-...  [4-[1-[4-(3-溴丙酰氧基)苯基]-2-苯...  [4-[2-苯基-1-(4-丙-2-烯酰基氧基苯基...  [4-[1-[4-[二(2-氯乙基)氨基甲酰氧基]...  2-(6,8-二溴-2-甲基-4-氧代喹唑啉-3-...  2-(6,8-二溴-2-甲基-4-氧代喹唑啉-3-...  2-(3-乙烯基苯基)乙腈  1-N-乙酰基-3(2-萘基)丙氨酰-2,3-苯丙...  8-蒽-2-基辛酸  2-甲基-2-丙烯酸C12-2O-烷基酯聚合物s与...  [(8R,9S,10R,13S,14S,17S)-...  锡-2,4-二碘次卟啉