Online Database of Chemicals from Around the World

环孢菌素内酰胺(3,4)
[CAS# 115141-85-0]

供应商
CAS#: 115141-85-0
产品: 环孢菌素内酰胺(3,4)
暂时没有厂家供应该产品。
基本信息
产品名称 环孢菌素内酰胺(3,4)
英文名 Cyclosporin Lactam(3,4)
别名 29-Ethyl-26-[(E)-1-Hydroxy-2-Methyl-Hex-4-Enyl]-2,8,17,20-Tetraisobutyl-5,23-Diisopropyl-7,11,14,16,19,22,25,31-Octamethyl-1,4,7,10,13,16,19,22,25,28,31-Undecazabicyclo[30.3.1]Hexatriacontane-3,6,9,12,15,18,21,24,27,30,36-Undecone; 29-Ethyl-26-[(E)-1-Hydroxy-2-Methylhex-4-Enyl]-2,8,17,20-Tetraisobutyl-5,23-Diisopropyl-7,11,14,16,19,22,25,31-Octamethyl-1,4,7,10,13,16,19,22,25,28,31-Undecazabicyclo[30.3.1]Hexatriacontane-3,6,9,12,15,18,21,24,27,30,36-Undecone; 29-Ethyl-26-[(E)-1-Hydroxy-2-Methyl-Hex-4-Enyl]-7,11,14,16,19,22,25,31-Octamethyl-2,8,17,20-Tetrakis(2-Methylpropyl)-5,23-Di(Propan-2-Yl)-1,4,7,10,13,16,19,22,25,28,31-Undecazabicyclo[30.3.1]Hexatriacontane-3,6,9,12,15,18,21,24,27,30,36-Undecone
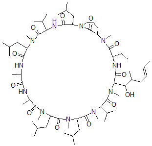
分子结构 CAS 登录号:115141-85-0, 环孢菌素内酰胺(3,4)
分子式 C64H113N11O12
分子量 1228.66
CAS 登录号 115141-85-0
分子行输入简码 SMILES C(C1N2C(=O)C(N(C(=O)C(NC(=O)C(N(C(=O)C(N(C(=O)C(N(C(=O)C(N(C(=O)C(NC(=O)C(NC(=O)C(N(C(=O)C(NC1=O)C(C)C)C)CC(C)C)C)C)C)CC(C)C)C)CC(C)C)C)C(C)C)C)C(O)C(C\C=C\C)C)CC)C)CCC2)C(C)C
国际化学标识码 InChI 1S/C64H113N11O12/c1-24-26-28-41(15)53(76)52-57(80)67-44(25-2)59(82)69(18)45-29-27-30-75(62(45)85)47(32-36(5)6)56(79)68-50(39(11)12)63(86)70(19)46(31-35(3)4)55(78)65-42(16)54(77)66-43(17)58(81)71(20)48(33-37(7)8)60(83)72(21)49(34-38(9)10)61(84)73(22)51(40(13)14)64(87)74(52)23/h24,26,35-53,76H,25,27-34H2,1-23H3,(H,65,78)(H,66,77)(H,67,80)(H,68,79)/b26-24+
国际化学标识检索码 InChIKey QSIFPOPKQLQWNU-SHHOIMCASA-N
物理化学性质
密度 1.156g/cm3 (计算值)
沸点 1306.98°C at 760 mmHg (计算值)
闪点 744.235°C (计算值)
市场分析报告
请浏览环孢菌素内酰胺(3,4)市场分析报告总目录
相关产品
(精氨酰6,D-色氨酰7,9,N-甲基-苯丙氨酰8...  纳曲酮苯基肟  氮杂卓并霉菌素3-呋喃核糖苷  3-氨基-6-氯-N-(二氨基亚甲基)-5-(甲基...  2-氨基-5-苯基-1,3-噻唑-4-羧酸甲酯  3-氨基-6-氯-N-(二氨基亚甲基)-5-(甲基...  20-三氟花生四烯酸  4-溴-2-辛烯酸  山海绵酰胺A  (4-甲氧基苯基)-(4-硝基苯基)甲酮  2-(3,4-二氯苯基)-N-甲基-N-[(1S)...  2-[[(2E,4E,6E,11R)-12-[(4...  (7-氧代吩恶嗪-3-基)乙酸酯  (4S-(4alpha,5beta(S')))-5...  (3R)-1-乙基-2-(4-羟基苯基)-3-甲基...