Online Database of Chemicals from Around the World

佛波醇 13-肉豆蔻酸酯
[CAS# 115905-51-6]

供应商
Alfa Chemistry 美国 询价快递  
+1 (201) 478-8534
inquiry@alfa-chemistry.com
化学品供销商(2012 年起)
chemBlink 标准供应商(2012 年起)
基本信息
产品名称 佛波醇 13-肉豆蔻酸酯
英文名 Phorbol 13-Myristate
别名 (1aS,1bS,4aR,7aS,7bS,8R,9R,9aS)-4a,7b,9-Trihydroxy-3-(hydroxymethyl)-1,1,6,8-tetramethyl-5-oxo-1,1a,1b,4,4a,5,7a,7b,8,9-decahydro-9aH-cyclopropa[3,4]benzo[1,2-e]azulen-9a-yl myristate; (1aS,1bS,4aR,7aS,7bS,8R,9R,9aS)-4a,7b,9-Trihydroxy-3-(hydroxymethyl)-1,1,6,8-tetramethyl-5-oxo-1,1a,1b,4,4a,5,7a,7b,8,9-decahydro-9aH-cyclopropa[3,4]benzo[1,2-e]azulen-9a-ylmyristat
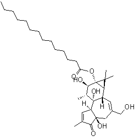
分子结构 CAS 登录号:115905-51-6, 佛波醇 13-肉豆蔻酸酯
分子式 C34H54O7
分子量 574.79
CAS 登录号 115905-51-6
分子行输入简码 SMILES CCCCCCCCCCCCCC(=O)O[C@@]12[C@H](C1(C)C)[C@@H]3C=C(C[C@]4([C@H]([C@]3([C@@H]([C@H]2O)C)O)C=C(C4=O)C)O)CO
国际化学标识码 InChI 1S/C34H54O7/c1-6-7-8-9-10-11-12-13-14-15-16-17-27(36)41-34-28(31(34,4)5)25-19-24(21-35)20-32(39)26(18-22(2)29(32)37)33(25,40)23(3)30(34)38/h18-19,23,25-26,28,30,35,38-40H,6-17,20-21H2,1-5H3/t23-,25+,26-,28+,30-,32-,33-,34-/m1/s1
国际化学标识检索码 InChIKey CESGKXMBHGUQTB-JWHXDPQNSA-N
物理化学性质
密度 1.2±0.1g/cm3 (计算值)
沸点 690.1±55.0°C at 760 mmHg (计算值)
闪点 210.0±25.0°C (计算值)
折射率 1.564 (计算值)
市场分析报告
请浏览佛波醇 13-肉豆蔻酸酯市场分析报告总目录
相关产品
3-(2-羟基乙基)-1-哌啶羧酸苄酯  N-(1-异丙氧乙基)乙酰胺  2-(2-硝基乙基)苯甲酸  双环[1.1.1]戊烷-1,3-二甲酰氯  N-[(1R)-1-苯基乙基]-2-丙烯-1-胺  (2E)-[(3-氨基-4-吡啶基)亚氨基]乙醛  (2E)-[(4-氨基-3-吡啶基)亚氨基]乙醛  (2R,3S,4S,5R)-己烷-1,2,3,4,...  2-羟基苯甲酸-1,2,3,4-(<sup>14<...  (3Z)-3-(羟基亚甲基)-4-甲基四氢-2H-...  3-乙基-2-[(1E,3E)-4-{(3E)-3...  4-溴-2-(甲氧基亚胺)-3-氧代丁酰氯  2-{[(2-甲基-2-丙基)氧基]羰基}-1,2...  (5S,6S)-4-氨基-5-氟-6-羟基-1-甲...  (5S,6R)-4-氨基-5-氟-6-羟基-1-甲...