Online Database of Chemicals from Around the World

腮腺涎组氨酸-含有大量的聚肽
[CAS# 117233-32-6]

供应商
CAS#: 117233-32-6
产品: 腮腺涎组氨酸-含有大量的聚肽
暂时没有厂家供应该产品。
基本信息
产品名称 腮腺涎组氨酸-含有大量的聚肽
英文名 Parotid Salivary Histidine-Rich Polypeptide
别名 Histatin 5 (Human Parotid Saliva), 24A-L-Tyrosine-; Human Parotid Salivary Histidine-Rich Polypeptide; Parotid Salivary Histidine-Rich Polypeptide
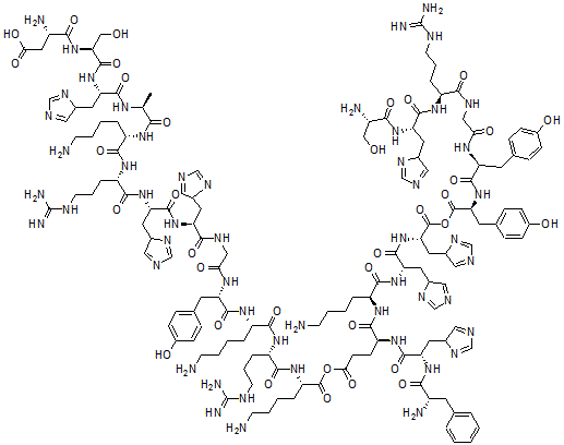
分子结构 CAS 登录号:117233-32-6, 腮腺涎组氨酸-含有大量的聚肽
分子式 C142H204N52O35
分子量 3199.50
CAS 登录号 117233-32-6
分子行输入简码 SMILES [C@H](C(=O)OC([C@@H](NC([C@@H](NC([C@@H](NC([C@@H](NC([C@@H](NC([C@@H](N)CC1=CC=CC=C1)=O)CC2C=NC=N2)=O)CCC(=O)OC([C@@H](NC([C@@H](NC([C@@H](NC([C@@H](NC(CNC([C@@H](NC([C@@H](NC([C@@H](NC([C@@H](NC([C@@H](NC([C@@H](NC([C@@H](NC([C@@H](N)CC(=O)O)=O)CO)=O)CC3C=NC=N3)=O)C)=O)CCCCN)=O)CCCNC(=N)N)=O)CC4C=NC=N4)=O)CC5C=NC=N5)=O)=O)CC6=CC=C(O)C=C6)=O)CCCCN)=O)CCCNC(=N)N)=O)CCCCN)=O)=O)CCCCN)=O)CC7C=NC=N7)=O)CC8C=NC=N8)=O)(NC([C@@H](NC(CNC([C@@H](NC([C@@H](NC([C@@H](N)CO)=O)CC9C=NC=N9)=O)CCCNC(=N)N)=O)=O)CC%10=CC=C(O)C=C%10)=O)CC%11=CC=C(O)C=C%11
国际化学标识码 InChI 1S/C142H204N52O35/c1-76(175-129(217)105(51-82-59-157-70-169-82)191-136(224)112(68-196)194-119(207)92(148)57-115(202)203)117(205)178-95(18-5-9-39-143)123(211)182-99(24-15-45-165-142(154)155)127(215)189-108(54-85-62-160-73-172-85)134(222)188-104(50-81-58-156-69-168-81)122(210)167-66-114(201)176-102(47-78-25-31-88(197)32-26-78)130(218)183-96(19-6-10-40-144)124(212)181-98(23-14-44-164-141(152)153)125(213)185-101(21-8-12-42-146)137(225)228-116(204)38-37-100(184-133(221)106(52-83-60-158-71-170-83)186-118(206)91(147)46-77-16-3-2-4-17-77)128(216)180-97(20-7-11-41-145)126(214)190-109(55-86-63-161-74-173-86)135(223)193-111(56-87-64-162-75-174-87)139(227)229-138(226)110(49-80-29-35-90(199)36-30-80)192-131(219)103(48-79-27-33-89(198)34-28-79)177-113(200)65-166-121(209)94(22-13-43-163-140(150)151)179-132(220)107(53-84-61-159-72-171-84)187-120(208)93(149)67-195/h2-4,16-17,25-36,58-64,69-76,81-87,91-112,195-199H,5-15,18-24,37-57,65-68,143-149H2,1H3,(H,166,209)(H,167,210)(H,175,217)(H,176,201)(H,177,200)(H,178,205)(H,179,220)(H,180,216)(H,181,212)(H,182,211)(H,183,218)(H,184,221)(H,185,213)(H,186,206)(H,187,208)(H,188,222)(H,189,215)(H,190,214)(H,191,224)(H,192,219)(H,193,223)(H,194,207)(H,202,203)(H4,150,151,163)(H4,152,153,164)(H4,154,155,165)/t76-,81?,82?,83?,84?,85?,86?,87?,91-,92-,93-,94-,95-,96-,97-,98-,99-,100-,101-,102-,103-,104-,105-,106-,107-,108-,109-,110-,111-,112-/m0/s1
国际化学标识检索码 InChIKey UMHAZRHZAQYINK-UCLGWUJRSA-N
市场分析报告
请浏览腮腺涎组氨酸-含有大量的聚肽市场分析报告总目录
相关产品
2-(2-氯-6-甲基苯基)-5-甲基-4H-吡唑...  3-焦谷氨酰噻唑烷-4-羧酸  伊加地平盐酸盐  苯醇胺菌素  特曲霉素D3  特曲霉素B3  N-乙酰基-8-脱氧神经氨酸  4-O-苄基-L-鼠李烯糖  2-(三甲基硅烷基)乙基beta-吡喃半乳糖苷  2-硝基咪唑-1-乙酰氧肟酸  1-氯-4-[1-(4-氯苯基)-2-硝基丁基]苯  [2-甲基-4-氧代-3-[(E)-戊-2-烯基]...  1-氯-4-[1-(4-氯苯基)-2-硝基丙基]苯  2-甲基-3-(2-甲基-2,3-二苯基-4-吗啉...  党参甙I