基本信息
| 产品名称 |
1,2-双十一烷酰磷脂酰乙醇胺 |
| 英文名 |
1,2-Diundecanoylphosphatidylethanolamine |
| 别名 |
[(1R)-1-[(2-Aminoethoxy-Hydroxy-Phosphoryl)Oxymethyl]-2-Undecanoyloxy-Ethyl] Undecanoate; Undecanoic Acid [(1R)-1-[(2-Aminoethoxy-Hydroxyphosphoryl)Oxymethyl]-2-(1-Oxoundecoxy)Ethyl] Ester; Undecanoic Acid [(1R)-1-[(2-Aminoethoxy-Hydroxy-Phosphoryl)Oxymethyl]-2-Undecanoyloxy-Ethyl] Ester |
|
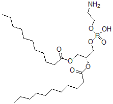
| 分子结构 |
 |
| 分子式 |
C27H54NO8P |
| 分子量 |
551.70 |
| CAS 登录号 |
117610-63-6 |
| 分子行输入简码 SMILES |
[C@@H](COC(CCCCCCCCCC)=O)(CO[P](=O)(O)OCCN)OC(CCCCCCCCCC)=O |
| 国际化学标识码 InChI |
1S/C27H54NO8P/c1-3-5-7-9-11-13-15-17-19-26(29)33-23-25(24-35-37(31,32)34-22-21-28)36-27(30)20-18-16-14-12-10-8-6-4-2/h25H,3-24,28H2,1-2H3,(H,31,32)/t25-/m1/s1 |
| 国际化学标识检索码 InChIKey |
ZWPYUJDPKPNXJG-RUZDIDTESA-N |
|