Online Database of Chemicals from Around the World

马盖宁A
[CAS# 117665-47-1]

供应商
CAS#: 117665-47-1
产品: 马盖宁A
暂时没有厂家供应该产品。
基本信息
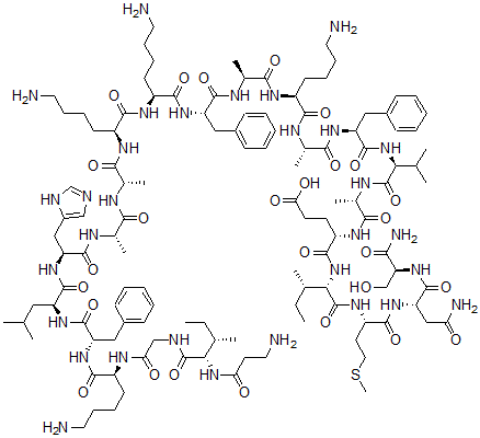
产品名称 马盖宁A
英文名 Magainin A
别名 Magainin I (Xenopus Laevis), 1-Beta-Alanine-8-L-Alanine-10-L-Lysine-13-L-Alanine-18-L-Alanine-22-L-Asparagine-23-L-Serinamide-
分子结构 CAS 登录号:117665-47-1, 马盖宁A
分子式 C117H187N31O27S
分子量 2492.02
CAS 登录号 117665-47-1
分子行输入简码 SMILES [C@@H](CC)(C)[C@H](NC(=O)CCN)C(=O)NCC(=O)N[C@@H](CCCCN)C(=O)N[C@@H](CC1=CC=CC=C1)C(=O)N[C@@H](CC(C)C)C(=O)N[C@@H](CC2=CN=C[NH]2)C(=O)N[C@@H](C)C(=O)N[C@@H](C)C(=O)N[C@@H](CCCCN)C(=O)N[C@@H](CCCCN)C(=O)N[C@@H](CC3=CC=CC=C3)C(=O)N[C@@H](C)C(=O)N[C@@H](CCCCN)C(=O)N[C@@H](C)C(=O)N[C@@H](CC4=CC=CC=C4)C(=O)N[C@@H](C(C)C)C(=O)N[C@@H](C)C(=O)N[C@@H](CCC(O)=O)C(=O)N[C@@H]([C@@H](C)CC)C(=O)N[C@@H](CCSC)C(=O)N[C@@H](CC(N)=O)C(=O)N[C@@H](CO)C(N)=O
国际化学标识码 InChI 1S/C117H187N31O27S/c1-15-66(7)95(146-91(151)46-52-122)115(173)126-61-92(152)133-77(40-26-30-48-118)104(162)142-85(56-74-36-22-18-23-37-74)112(170)140-83(54-64(3)4)111(169)143-87(58-76-60-125-63-127-76)110(168)130-68(9)98(156)128-69(10)99(157)135-79(42-28-32-50-120)105(163)137-80(43-29-33-51-121)106(164)141-84(55-73-34-20-17-21-35-73)109(167)131-70(11)100(158)134-78(41-27-31-49-119)103(161)129-71(12)102(160)139-86(57-75-38-24-19-25-39-75)114(172)147-94(65(5)6)116(174)132-72(13)101(159)136-81(44-45-93(153)154)108(166)148-96(67(8)16-2)117(175)138-82(47-53-176-14)107(165)144-88(59-90(123)150)113(171)145-89(62-149)97(124)155/h17-25,34-39,60,63-72,77-89,94-96,149H,15-16,26-33,40-59,61-62,118-122H2,1-14H3,(H2,123,150)(H2,124,155)(H,125,127)(H,126,173)(H,128,156)(H,129,161)(H,130,168)(H,131,167)(H,132,174)(H,133,152)(H,134,158)(H,135,157)(H,136,159)(H,137,163)(H,138,175)(H,139,160)(H,140,170)(H,141,164)(H,142,162)(H,143,169)(H,144,165)(H,145,171)(H,146,151)(H,147,172)(H,148,166)(H,153,154)/t66-,67-,68-,69-,70-,71-,72-,77-,78-,79-,80-,81-,82-,83-,84-,85-,86-,87-,88-,89-,94-,95-,96-/m0/s1
国际化学标识检索码 InChIKey PIMDIROPKFPSDI-BXRJKVPUSA-N
市场分析报告
请浏览马盖宁A市场分析报告总目录
相关产品
(丙氨酰8,13,18)-马盖宁酰胺 II  乳铁传递蛋白(318-323)  乳铁传递蛋白(536-540)  乳铁传递蛋白(673-679)  5S-羟基-6R-(S-(2-氧代-3-硫代丙酰基...  3'-叠氮基-3'-脱氧-5'-O-beta-吡喃...  14-碘-15-羟基-5,8,11-二十碳三烯酸  亚胺二乙酸-钌(III)络合物  亮氨酰-缬氨酰-异亮氨酰胺  7-(2'-((2''-甲基-1''-氧代丁氧基)...  8-叠氮基-2'-脱氧腺苷-5'-三磷酸酯  Spermexatin  Spermexatol  (2S,4S,5R,6R)-5-乙酰氨基-2-(4...  十二碳二烯醇-十二烷-1-醇-十四烷-1-醇混合物