Online Database of Chemicals from Around the World

Toxin II, cyanobacterium
[CAS# 120011-66-7]

供应商
International Laboratory Limited 美国 询价快递  
+1 (650) 278-9963
admin@intlab.org
化学品生产商(2002 年起)
LKT Laboratories, Inc. 美国 询价快递  
+1 (888) 558-5227
peacerli@mbolin-lktlabs.com
化学品生产商
基本信息
产品名称 Toxin II, cyanobacterium
英文名 Toxin II, cyanobacterium
别名 (5R,8S,11R,15S,18S,19S,22R)-15-(3-Guanidinopropyl)-8-Isobutyl-18-[(1E,3E,5S,6S)-6-Methoxy-3,5-Dimethyl-7-Phenyl-Hepta-1,3-Dienyl]-1,5,19-Trimethyl-2-Methylene-3,6,9,13,16,20,25-Heptaoxo-1,4,7,10,14,17,21-Heptazacyclopentacosane-11,22-Dicarboxylic Acid; (5R,8S,11R,15S,18S,19S,22R)-15-(3-Guanidinopropyl)-8-Isobutyl-18-[(1E,3E,5S,6S)-6-Methoxy-3,5-Dimethyl-7-Phenylhepta-1,3-Dienyl]-1,5,19-Trimethyl-2-Methylene-3,6,9,13,16,20,25-Heptaoxo-1,4,7,10,14,17,21-Heptazacyclopentacosane-11,22-Dicarboxylic Acid; (5R,8S,11R,15S,18S,19S,22R)-15-(3-Guanidinopropyl)-8-Isobutyl-3,6,9,13,16,20,25-Heptaketo-18-[(1E,3E,5S,6S)-6-Methoxy-3,5-Dimethyl-7-Phenyl-Hepta-1,3-Dienyl]-1,5,19-Trimethyl-2-Methylene-1,4,7,10,14,17,21-Heptazacyclopentacosane-11,22-Dicarboxylic Acid
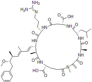
分子结构 CAS 登录号:120011-66-7, Toxin II, cyanobacterium
分子式 C48H72N10O12
分子量 981.16
CAS 登录号 120011-66-7
分子行输入简码 SMILES [C@H]1(NC(=O)[C@@H](NC(=O)C[C@@H](NC(=O)[C@@H](NC(=O)[C@H](NC(=O)C(N(C(=O)CC[C@@H](NC(=O)[C@H]1C)C(O)=O)C)=C)C)CC(C)C)C(O)=O)CCCN=C(N)N)\C=C\C(=C\[C@@H]([C@@H](OC)CC2=CC=CC=C2)C)C
国际化学标识码 InChI 1S/C48H72N10O12/c1-26(2)22-36-45(65)57-37(47(68)69)25-39(59)53-34(16-13-21-51-48(49)50)44(64)54-33(18-17-27(3)23-28(4)38(70-9)24-32-14-11-10-12-15-32)29(5)41(61)55-35(46(66)67)19-20-40(60)58(8)31(7)43(63)52-30(6)42(62)56-36/h10-12,14-15,17-18,23,26,28-30,33-38H,7,13,16,19-22,24-25H2,1-6,8-9H3,(H,52,63)(H,53,59)(H,54,64)(H,55,61)(H,56,62)(H,57,65)(H,66,67)(H,68,69)(H4,49,50,51)/b18-17+,27-23+/t28-,29-,30+,33-,34-,35+,36-,37+,38-/m0/s1
国际化学标识检索码 InChIKey VYEBKSHVYPDMQQ-MREVJOSWSA-N
物理化学性质
密度 1.307g/cm3 (计算值)
市场分析报告
请浏览Toxin II, cyanobacterium市场分析报告总目录
相关产品
二钠二氧代-二氧代-铬  1-硝基-7,8,9,10-四氢苯并[a]芘-7-...  2-[(4-氯苯基)甲氧基]乙醇  2-叠氮基-3,8-二甲基咪唑并[5,4-h]喹喔...  蒿醚林酸  (2S)-N-[(2S)-1-[[(2S)-1-氨...  蔗糖单烯丙基醚  二丙二醇甲基醚  2-[[4-(氨基甲酰氨基)苯基]-(羧基甲硫基)...  1-氯-4-甲基磺酰基硫基苯  2-(4-甲基苯基)-1H-苯并咪唑  铝酸锂  铝化钼  雷尼镍  (6Z)-1-甲基-6-[(2,4,5-三甲氧基-...