Online Database of Chemicals from Around the World

2-甲基-2-丙基甲基(4-氧代丁基)氨基甲酸酯
[CAS# 120984-59-0]

供应商
Achemica 瑞士 询价快递  
+41 (24) 466-2929
contact@achemica.com
化学品生产商(2010 年起)
基本信息
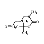
产品名称 2-甲基-2-丙基甲基(4-氧代丁基)氨基甲酸酯
英文名 2-Methyl-2-Propanyl Methyl(4-Oxobutyl)Carbamate
别名 tert-butyl3-formylpropylmethylcarbamate
分子结构 CAS 登录号:120984-59-0, 2-甲基-2-丙基甲基(4-氧代丁基)氨基甲酸酯
分子式 C10H19NO3
分子量 201.26
CAS 登录号 120984-59-0
分子行输入简码 SMILES CN(CCCC=O)C(=O)OC(C)(C)C
国际化学标识码 InChI 1S/C10H19NO3/c1-10(2,3)14-9(13)11(4)7-5-6-8-12/h8H,5-7H2,1-4H3
国际化学标识检索码 InChIKey VSKKUZCPADUNJU-UHFFFAOYSA-N
物理化学性质
密度 0.998g/cm3 (计算值)
沸点 276.613°C at 760 mmHg (计算值)
闪点 121.091°C (计算值)
折射率 1.448 (计算值)
市场分析报告
请浏览2-甲基-2-丙基甲基(4-氧代丁基)氨基甲酸酯市场分析报告总目录
相关产品
(5-溴戊基)硼酸  N-乙基-N-(3-哌啶基甲基)乙胺  2-(4-{[3-(2-甲氧基苯基)丙基](甲基)...  4-甲基-3-氧代-3,4-二氢-2-吡嗪羧酸  5-甲基-3-氧代-3,4-二氢-2-吡嗪羧酸  1-(4-氧代-2-吡嗪基)乙酮  乙基[(2E)-3-氨基-2-甲基-2-丙烯亚氨代...  3-(3-甲氧基苯氧基)-N-甲基-1-丙胺  2-(3-甲氧基苯氧基)-N-甲基乙胺  N-乙基-3-苯基双环[2.2.1]庚烷-2-胺  2-甲基-1-(2-硫代-1-吡咯烷基)-1-丙酮  2-苯基-1-(2-硫代-1-吡咯烷基)乙酮  2-甲氧基-1-(2-硫代-1-氮杂环庚基)乙酮  1-(2-硫代-1-哌啶基)乙酮  1-(2-硫代-1-氮杂环庚基)乙酮