Online Database of Chemicals from Around the World

N-(3-碘-4-叠氮基苯基丙酰胺基)半胱氨酰-5-(2'-硫代吡啶基)半胱氨酸-辅酶A
[CAS# 121368-75-0]

供应商
CAS#: 121368-75-0
产品: N-(3-碘-4-叠氮基苯基丙酰胺基)半胱氨酰-5-(2'-硫代吡啶基)半胱氨酸-辅酶A
暂时没有厂家供应该产品。
基本信息
产品名称 N-(3-碘-4-叠氮基苯基丙酰胺基)半胱氨酰-5-(2'-硫代吡啶基)半胱氨酸-辅酶A
英文名 N-(3-Iodo-4-Azidophenylpropionamido)Cysteinyl-5-(2'-Thiopyridyl)Cysteine-Coenzyme A
别名 (2R)-3-[2-[3-[[(2R)-2-[[[(2R,3S,4R,5R)-5-(6-Aminopurin-9-Yl)-4-Hydroxy-3-Phosphonooxy-Tetrahydrofuran-2-Yl]Methoxy-Hydroxy-Phosphoryl]Peroxy-Hydroxy-Phosphoryl]-2-Hydroxy-Acetyl]Amino]Propanoylamino]Ethyldisulfanyl]-2-[3-(4-Azido-3-Iodo-Phenyl)Propanoylamino]Heptanoic Acid; (2R)-3-[2-[[3-[[(2R)-2-[[[(2R,3S,4R,5R)-5-(6-Amino-9-Purinyl)-4-Hydroxy-3-Phosphonooxy-2-Tetrahydrofuranyl]Methoxy-Hydroxyphosphoryl]Dioxy-Hydroxyphosphoryl]-2-Hydroxy-1-Oxoethyl]Amino]-1-Oxopropyl]Amino]Ethyldisulfanyl]-2-[[3-(4-Azido-3-Iodophenyl)-1-Oxopropyl]Amino]Heptanoic Acid; (2R)-3-[2-[3-[[(2R)-2-[[[(2R,3S,4R,5R)-5-(6-Aminopurin-9-Yl)-4-Hydroxy-3-Phosphonooxy-Tetrahydrofuran-2-Yl]Methoxy-Hydroxy-Phosphoryl]Peroxy-Hydroxy-Phosphoryl]-2-Hydroxy-Acetyl]Amino]Propanoylamino]Ethyldisulfanyl]-2-[3-(4-Azido-3-Iodo-Phenyl)Propanoylamino]Enanthic Acid
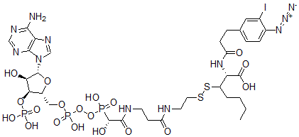
分子结构 CAS 登录号:121368-75-0, N-(3-碘-4-叠氮基苯基丙酰胺基)半胱氨酰-5-(2'-硫代吡啶基)半胱氨酸-辅酶A
分子式 C33H47IN11O19P3S2
分子量 1185.74
CAS 登录号 121368-75-0
分子行输入简码 SMILES [N+](=NC1=CC=C(C=C1I)CCC(=O)N[C@@H](C(SSCCNC(=O)CCNC(=O)[C@@H]([P](OO[P](OC[C@H]4O[C@@H]([N]2C3=C(N=C2)C(=NC=N3)N)[C@H](O)[C@@H]4O[P](=O)(O)O)(=O)O)(=O)O)O)CCCC)C(=O)O)=[N-]
国际化学标识码 InChI 1S/C33H47IN11O19P3S2/c1-2-3-4-21(24(32(50)51)42-23(47)8-6-17-5-7-19(43-44-36)18(34)13-17)69-68-12-11-37-22(46)9-10-38-30(49)33(52)65(53,54)63-64-67(58,59)60-14-20-27(62-66(55,56)57)26(48)31(61-20)45-16-41-25-28(35)39-15-40-29(25)45/h5,7,13,15-16,20-21,24,26-27,31,33,48,52H,2-4,6,8-12,14H2,1H3,(H,37,46)(H,38,49)(H,42,47)(H,50,51)(H,53,54)(H,58,59)(H2,35,39,40)(H2,55,56,57)/t20-,21?,24+,26-,27-,31-,33-/m1/s1
国际化学标识检索码 InChIKey INNXFTJYJFYUQJ-FLQPUNRMSA-N
市场分析报告
请浏览N-(3-碘-4-叠氮基苯基丙酰胺基)半胱氨酰-5-(2'-硫代吡啶基)半胱氨酸-辅酶A市场分析报告总目录
相关产品
beta-环糊精十四硫酸酯  氧化铑(IV)  铷钛酸盐  内皮素(16-21)  硫化钍  二硒化铀  10-氯蒽-9-甲腈  硅化锶  二碲化铀  4-(羧甲基硫代)倍他米松  1-三甲基硅烷基-1-丙醇  锆酸镉  硬硅钙石  碲化二钾  2-溴乙基-乙基-(萘-1-基甲基)溴化铵