Online Database of Chemicals from Around the World

丝氨酰-脯氨酰-丝氨酰-缬氨酰-谷氨酰-精氨酰-缬氨酰-苯丙氨酰-丝氨酰-丙氨酰-丝氨酰-脯氨酰-丙氨酰-亮氨酸
[CAS# 123001-63-8]

供应商
CAS#: 123001-63-8
产品: 丝氨酰-脯氨酰-丝氨酰-缬氨酰-谷氨酰-精氨酰-缬氨酰-苯丙氨酰-丝氨酰-丙氨酰-丝氨酰-脯氨酰-丙氨酰-亮氨酸
暂时没有厂家供应该产品。
基本信息
产品名称 丝氨酰-脯氨酰-丝氨酰-缬氨酰-谷氨酰-精氨酰-缬氨酰-苯丙氨酰-丝氨酰-丙氨酰-丝氨酰-脯氨酰-丙氨酰-亮氨酸
英文名 Seryl-prolyl-seryl-valyl-glutamyl-arginyl-valyl-phenylalanyl-seryl-alanyl-seryl-prolyl-alanyl-leucine
别名 (2S)-2-[[(2S)-2-[[(2S)-1-[(2S)-2-[[(2S)-2-[[(2S)-2-[[(2S)-2-[[(2S)-2-[[(2S)-2-[[(2S)-2-[[(2S)-2-[[(2S)-2-[[(2S)-1-[(2S)-2-Amino-3-Hydroxy-Propanoyl]Pyrrolidine-2-Carbonyl]Amino]-3-Hydroxy-Propanoyl]Amino]-3-Methyl-Butanoyl]Amino]-5-Hydroxy-5-Oxo-Pentanoyl]Amino]-5-Guanidino-Pentanoyl]Amino]-3-Methyl-Butanoyl]Amino]-3-Phenyl-Propanoyl]Amino]-3-Hydroxy-Propanoyl]Amino]Propanoyl]Amino]-3-Hydroxy-Propanoyl]Pyrrolidine-2-Carbonyl]Amino]Propanoyl]Amino]-4-Methyl-Pentanoic Acid; (2S)-2-[[(2S)-2-[[[(2S)-1-[(2S)-2-[[(2S)-2-[[(2S)-2-[[(2S)-2-[[(2S)-2-[[(2S)-2-[[(2S)-2-[[(2S)-2-[[(2S)-2-[[[(2S)-1-[(2S)-2-Amino-3-Hydroxy-1-Oxopropyl]-2-Pyrrolidinyl]-Oxomethyl]Amino]-3-Hydroxy-1-Oxopropyl]Amino]-3-Methyl-1-Oxobutyl]Amino]-5-Hydroxy-1,5-Dioxopentyl]Amino]-5-Guanidino-1-Oxopentyl]Amino]-3-Methyl-1-Oxobutyl]Amino]-1-Oxo-3-Phenylpropyl]Amino]-3-Hydroxy-1-Oxopropyl]Amino]-1-Oxopropyl]Amino]-3-Hydroxy-1-Oxopropyl]-2-Pyrrolidinyl]-Oxomethyl]Amino]-1-Oxopropyl]Amino]-4-Methylpentanoic Acid; (2S)-2-[[(2S)-2-[[(2S)-1-[(2S)-2-[[(2S)-2-[[(2S)-2-[[(2S)-2-[[(2S)-2-[[(2S)-2-[[(2S)-2-[[(2S)-2-[[(2S)-2-[[(2S)-1-[(2S)-2-Amino-3-Hydroxy-Propanoyl]Pyrrolidine-2-Carbonyl]Amino]-3-Hydroxy-Propanoyl]Amino]-3-Methyl-Butanoyl]Amino]-5-Hydroxy-5-Keto-Pentanoyl]Amino]-5-Guanidino-Pentanoyl]Amino]-3-Methyl-Butanoyl]Amino]-3-Phenyl-Propanoyl]Amino]-3-Hydroxy-Propanoyl]Amino]Propanoyl]Amino]-3-Hydroxy-Propanoyl]Pyrrolidine-2-Carbonyl]Amino]Propanoyl]Amino]-4-Methyl-Valeric Acid
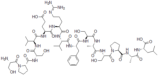
分子结构 CAS 登录号:123001-63-8, 丝氨酰-脯氨酰-丝氨酰-缬氨酰-谷氨酰-精氨酰-缬氨酰-苯丙氨酰-丝氨酰-丙氨酰-丝氨酰-脯氨酰-丙氨酰-亮氨酸
分子式 C64H103N17O21
分子量 1446.62
CAS 登录号 123001-63-8
分子行输入简码 SMILES [C@@H]1(N(CCC1)C(=O)[C@@H](NC(=O)[C@@H](NC(=O)[C@@H](NC(=O)[C@@H](NC(=O)[C@@H](NC(=O)[C@@H](NC(=O)[C@@H](NC(=O)[C@@H](NC(=O)[C@@H](NC(=O)[C@H]2N(CCC2)C(=O)[C@@H](N)CO)CO)C(C)C)CCC(O)=O)CCCN=C(N)N)C(C)C)CC3=CC=CC=C3)CO)C)CO)C(=O)N[C@@H](C)C(=O)N[C@@H](CC(C)C)C(O)=O
国际化学标识码 InChI 1S/C64H103N17O21/c1-31(2)25-41(63(101)102)74-50(88)35(8)70-57(95)45-18-14-24-81(45)62(100)44(30-85)77-51(89)34(7)69-55(93)42(28-83)75-54(92)40(26-36-15-10-9-11-16-36)73-60(98)49(33(5)6)78-53(91)38(17-12-22-68-64(66)67)71-52(90)39(20-21-47(86)87)72-59(97)48(32(3)4)79-56(94)43(29-84)76-58(96)46-19-13-23-80(46)61(99)37(65)27-82/h9-11,15-16,31-35,37-46,48-49,82-85H,12-14,17-30,65H2,1-8H3,(H,69,93)(H,70,95)(H,71,90)(H,72,97)(H,73,98)(H,74,88)(H,75,92)(H,76,96)(H,77,89)(H,78,91)(H,79,94)(H,86,87)(H,101,102)(H4,66,67,68)/t34-,35-,37-,38-,39-,40-,41-,42-,43-,44-,45-,46-,48-,49-/m0/s1
国际化学标识检索码 InChIKey DGAZPTLWGXEFTK-CQCYLEIZSA-N
市场分析报告
请浏览丝氨酰-脯氨酰-丝氨酰-缬氨酰-谷氨酰-精氨酰-缬氨酰-苯丙氨酰-丝氨酰-丙氨酰-丝氨酰-脯氨酰-丙氨酰-亮氨酸市场分析报告总目录
相关产品
(2R,3R,4S,5R)-2-(2-氨基-6-氨...  2-氨基-9-[(2R,3R,4S,5R)-3,4...  [(4S,6S)-4,6-二甲基-3,7-二氧代壬...  (3S,5R)-5-[(11R)-11-羟基-11...  [(8S,9R,10S,11S,13S,14S,1...  (2S)-2-[6-(喹啉-2-基甲氧基)萘-2-...  5-氨基-1-环丙基-6-氟-4-氧代-7-哌嗪-...  2,3,4,6-四氟苯甲酰氯  (1-亚硝基哌啶-2-基)磷酸二氢酯  羟吗啡酮-6-螺海因  氧化氯  十三烷基苯  12,13-Deoxytrichoverrin  预处理血管活性小肠肽(111-122)  1-(2-羟基乙氧基甲基)-5-甲基-6-苯基硫基...