Online Database of Chemicals from Around the World

鲎肽II
[CAS# 125139-68-6]

供应商
CAS#: 125139-68-6
产品: 鲎肽II
暂时没有厂家供应该产品。
基本信息
产品名称 鲎肽II
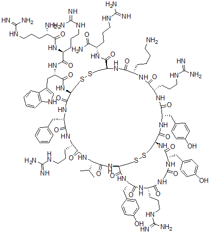
英文名 Polyphemusin II
别名 Tachyplesin I, 1-(N2-L-Arginyl-L-Arginine)-9-L-Lysine-11-L-Phenylalanine-15-L-Lysine-
分子结构 CAS 登录号:125139-68-6, 鲎肽II
分子式 C108H161N39O21S4
分子量 2469.95
CAS 登录号 125139-68-6
分子行输入简码 SMILES [C@H]4(NC([C@@H](NC([C@@H](NC([C@H](CC1=C[NH]C2=C1C=CC=C2)NC([C@@H](NC([C@H](CCCNC(N)=N)N)=O)CCCNC(N)=N)=O)=O)CSSC[C@H](NC([C@@H](NC([C@@H](NC([C@H](CC3=CC=C(C=C3)O)NC([C@@H]6CSSC[C@H](NC([C@@H](NC4=O)C(C)C)=O)C(N[C@@H](CC5=CC=C(C=C5)O)C(=O)N[C@H](C(NCC(N[C@H](C(=O)N6)CC7=CC=C(C=C7)O)=O)=O)CCCNC(N)=N)=O)=O)=O)CCCNC(N)=N)=O)CCCCN)=O)C(=O)N[C@@H](CCCNC(N)=N)C(N)=O)=O)CC8=CC=CC=C8)=O)CCCNC(N)=N
国际化学标识码 InChI 1S/C108H161N39O21S4/c1-57(2)85-102(168)146-83-56-172-171-54-81(144-93(159)75(47-59-27-33-63(148)34-28-59)132-84(151)52-131-88(154)70(23-12-42-126-105(116)117)135-94(160)77(141-101(83)167)48-60-29-35-64(149)36-30-60)99(165)140-78(49-61-31-37-65(150)38-32-61)96(162)137-73(25-14-44-128-107(120)121)89(155)136-71(21-8-9-39-109)91(157)143-80(98(164)133-69(86(111)152)22-11-41-125-104(114)115)53-169-170-55-82(100(166)139-76(46-58-16-4-3-5-17-58)95(161)138-74(92(158)147-85)26-15-45-129-108(122)123)145-97(163)79(50-62-51-130-68-20-7-6-18-66(62)68)142-90(156)72(24-13-43-127-106(118)119)134-87(153)67(110)19-10-40-124-103(112)113/h3-7,16-18,20,27-38,51,57,67,69-83,85,130,148-150H,8-15,19,21-26,39-50,52-56,109-110H2,1-2H3,(H2,111,152)(H,131,154)(H,132,151)(H,133,164)(H,134,153)(H,135,160)(H,136,155)(H,137,162)(H,138,161)(H,139,166)(H,140,165)(H,141,167)(H,142,156)(H,143,157)(H,144,159)(H,145,163)(H,146,168)(H,147,158)(H4,112,113,124)(H4,114,115,125)(H4,116,117,126)(H4,118,119,127)(H4,120,121,128)(H4,122,123,129)/t67-,69-,70-,71-,72-,73-,74-,75-,76-,77-,78-,79-,80-,81-,82-,83-,85-/m0/s1
国际化学标识检索码 InChIKey WISHQAFOFDHCQA-MTHDQZMLSA-N
市场分析报告
请浏览鲎肽II市场分析报告总目录
相关产品
速普肽II  5-氯-N-[2-[(4-碘苯基)甲基-甲基氨基]...  1-氨基-3-(3-氨基丙基氨基)丙-2-醇  (E)-壬-3-烯  5,5-二甲基-2-(2-硝基苯基)氨基-1,3,...  5-[3-氰基-6-[2-(2-乙氧基苯氧基)乙基...  5-[3-氰基-6-[2-(5-氟-2-甲氧基苯氧...  4,5,11-三甲基喹啉并[2,3-b]吲哚  [(3aR,5R,6S,6aR)-5-[(1R)-...  [(2R)-2-[(3aR,5R,6S,6aR)-...  2-(4-氨基丁基)丙烷-1,3-二醇  (2R,3R,4S,5R)-2-[6-[3-[[3...  2-二甲基氨基-5-苯基偶氮苯磺酸  2-(4-二甲基氨基苯基)偶氮苯磺酸  2-二甲基氨基-5-苯基偶氮苯-1,3-二磺酸