Online Database of Chemicals from Around the World

4-叠氮基-N-[2-[[N-氰基-N'-[3-[3-(哌啶-1-基甲基)苯氧基]丙基]甲脒基]氨基]乙基]-3-碘苯甲酰胺
[CAS# 126632-02-8]

供应商
CAS#: 126632-02-8
产品: 4-叠氮基-N-[2-[[N-氰基-N'-[3-[3-(哌啶-1-基甲基)苯氧基]丙基]甲脒基]氨基]乙基]-3-碘苯甲酰胺
暂时没有厂家供应该产品。
基本信息
产品名称 4-叠氮基-N-[2-[[N-氰基-N'-[3-[3-(哌啶-1-基甲基)苯氧基]丙基]甲脒基]氨基]乙基]-3-碘苯甲酰胺
英文名 4-Azido-N-[2-[[N-Cyano-N'-[3-[3-(Piperidin-1-Ylmethyl)Phenoxy]Propyl]Carbamimidoyl]Amino]Ethyl]-3-Iodobenzamide
别名 4-Azido-N-[2-[[N-Cyano-N'-[3-[3-(1-Piperidylmethyl)Phenoxy]Propyl]Carbamimidoyl]Amino]Ethyl]-3-Iodo-Benzamide; 4-Azido-N-[2-[[(Cyanoamino)-[3-[3-(1-Piperidylmethyl)Phenoxy]Propylimino]Methyl]Amino]Ethyl]-3-Iodobenzamide; 4-Azido-N-[2-[[N-Cyano-N'-[3-[3-(Piperidinomethyl)Phenoxy]Propyl]Carbamimidoyl]Amino]Ethyl]-3-Iodo-Benzamide
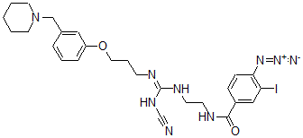
分子结构 CAS 登录号:126632-02-8, 4-叠氮基-N-[2-[[N-氰基-N'-[3-[3-(哌啶-1-基甲基)苯氧基]丙基]甲脒基]氨基]乙基]-3-碘苯甲酰胺
分子式 C26H32IN9O2
分子量 629.50
CAS 登录号 126632-02-8
分子行输入简码 SMILES [N+](=NC3=C(I)C=C(C(=O)NCCNC(=NCCCOC1=CC=CC(=C1)CN2CCCCC2)NC#N)C=C3)=[N-]
国际化学标识码 InChI 1S/C26H32IN9O2/c27-23-17-21(8-9-24(23)34-35-29)25(37)30-11-12-32-26(33-19-28)31-10-5-15-38-22-7-4-6-20(16-22)18-36-13-2-1-3-14-36/h4,6-9,16-17H,1-3,5,10-15,18H2,(H,30,37)(H2,31,32,33)
国际化学标识检索码 InChIKey ZDEJFUULRAFTAI-UHFFFAOYSA-N
市场分析报告
请浏览4-叠氮基-N-[2-[[N-氰基-N'-[3-[3-(哌啶-1-基甲基)苯氧基]丙基]甲脒基]氨基]乙基]-3-碘苯甲酰胺市场分析报告总目录
相关产品
2,3-二氢-6-丙基-2-硒代-4(1H)-嘧啶...  氯肽  普鲁卡因盐酸盐  2-氨基-N-[1-[(7-氨基-1-氯-2-氧代...  [3-[(1E,3E,9E)-8-(2-氨基乙基)...  [(9S,13S,14S,17S)-17-羟基-1...  7-乙氧基-3-苯基-4H-[1,2,4]三嗪并[...  S-甲基2,4-二羟基-5-(3-羟基丁基)-3,...  [(2S,3R,4S,5S,6R)-4,5-二羟基...  5-[11-羟基-11-[5-(1-羟基十三烷基)...  [2-[4-(4-氨基-5-羟基-6-甲基四氢吡喃...  1-去氨基-精氨酰(8)-(荧光素)苯丙氨酸(9)...  2-[1-(2-乙氧基乙基)苯并咪唑-2-基]硫基...  2-甲基-5-丙-2-基氧基-4-[2-(三氟甲基...  (1R,2R,3R,4S,5R,6S)-2-(羟基...