Identification
| Name |
Colistimethate |
| Synonyms |
Pentasodium [[4-[[2-Hydroxy-1-[[1-[[3-(1-Hydroxyethyl)-12,15-Diisobutyl-2,5,8,11,14,17,20-Heptaoxo-6,9,18-Tris[2-(Sulfonatomethylamino)Ethyl]-1,4,7,10,13,16,19-Heptazacyclotricos-21-Yl]Carbamoyl]-3-(Sulfonatomethylamino)Propyl]Carbamoyl]Propyl]Amino]-3-(6-Methyloctanoylamino)-4-Oxo-Butyl]Amino]Methanesulfonate; Pentasodium [[4-[[2-Hydroxy-1-[[[1-[[[3-(1-Hydroxyethyl)-12,15-Diisobutyl-2,5,8,11,14,17,20-Heptaoxo-6,9,18-Tris[2-(Sulfonatomethylamino)Ethyl]-1,4,7,10,13,16,19-Heptazacyclotricos-21-Yl]Amino]-Oxomethyl]-3-(Sulfonatomethylamino)Propyl]Amino]-Oxomethyl]Propyl]Amino]-3-[(6-Methyl-1-Oxooctyl)Amino]-4-Oxobutyl]Amino]Methanesulfonate; Pentasodium [[4-[[2-Hydroxy-1-[[1-[[3-(1-Hydroxyethyl)-12,15-Diisobutyl-2,5,8,11,14,17,20-Heptaketo-6,9,18-Tris[2-(Sulfonatomethylamino)Ethyl]-1,4,7,10,13,16,19-Heptazacyclotricos-21-Yl]Carbamoyl]-3-(Sulfonatomethylamino)Propyl]Carbamoyl]Propyl]Amino]-4-Keto-3-(6-Methyloctanoylamino)Butyl]Amino]Methanesulfonate |
|
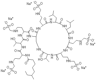
| Molecular Structure |
 |
| Molecular Formula |
C58H105N16Na5O28S5 |
| Molecular Weight |
1749.81 |
| CAS Registry Number |
12705-41-8 |
| SMILES |
C(C1NC(=O)C(NC(=O)C(NC(=O)C(NC(=O)C(NC(=O)C(NC(=O)CCCCC(CC)C)CCNC[S]([O-])(=O)=O)C(O)C)CCNC[S]([O-])(=O)=O)CCNC(=O)C(NC(=O)C(NC(=O)C(NC(=O)C(NC1=O)CC(C)C)CCNC[S]([O-])(=O)=O)CCNC[S]([O-])(=O)=O)C(O)C)CCNC[S]([O-])(=O)=O)C(C)C.[Na+].[Na+].[Na+].[Na+].[Na+] |
| InChI |
1S/C58H110N16O28S5.5Na/c1-9-35(6)12-10-11-13-46(77)65-38(14-20-59-28-103(88,89)90)53(82)74-48(37(8)76)58(87)70-41(17-23-62-31-106(97,98)99)50(79)68-43-19-25-64-57(86)47(36(7)75)73-54(83)42(18-24-63-32-107(100,101)102)67-49(78)39(15-21-60-29-104(91,92)93)69-55(84)44(26-33(2)3)72-56(85)45(27-34(4)5)71-52(81)40(66-51(43)80)16-22-61-30-105(94,95)96;;;;;/h33-45,47-48,59-63,75-76H,9-32H2,1-8H3,(H,64,86)(H,65,77)(H,66,80)(H,67,78)(H,68,79)(H,69,84)(H,70,87)(H,71,81)(H,72,85)(H,73,83)(H,74,82)(H,88,89,90)(H,91,92,93)(H,94,95,96)(H,97,98,99)(H,100,101,102);;;;;/q;5*+1/p-5 |
| InChIKey |
IQWHCHZFYPIVRV-UHFFFAOYSA-I |
|