Online Database of Chemicals from Around the World

2,2',2'',2'''-[5,10,15,20-卟啉四基四(4,1-亚苯基氧基)]四乙酸
[CAS# 127812-08-2]

供应商
Achemica 瑞士 询价快递  
+41 (24) 466-2929
contact@achemica.com
化学品生产商(2010 年起)
International Laboratory Limited 美国 询价快递  
+1 (650) 278-9963
admin@intlab.org
化学品生产商(2002 年起)
PHARMEKS Ltd. 俄罗斯 询价快递  
+7 (495) 702-9648
sales@pharmeks.com
化学品生产商(2000 年起)
基本信息
产品名称 2,2',2'',2'''-[5,10,15,20-卟啉四基四(4,1-亚苯基氧基)]四乙酸
英文名 2,2',2'',2'''-[5,10,15,20-Porphyrintetrayltetrakis(4,1-Phenyleneoxy)]Tetraacetic Acid
别名 5,10,15,20-Tetrakis(4-carboxymethyloxyphenyl)-21H,23H-porphine; 5,10,15,20-Tetrakis(4-carboxymethyloxyphenyl)porphyrin
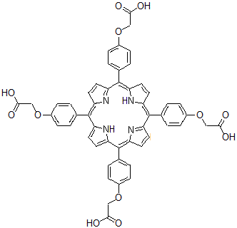
分子结构 CAS 登录号:127812-08-2, 2,2',2'',2'''-[5,10,15,20-卟啉四基四(4,1-亚苯基氧基)]四乙酸
分子式 C52H38N4O12
分子量 910.88
CAS 登录号 127812-08-2
分子行输入简码 SMILES O=C(O)COc1ccc(cc1)c4c/9nc(c(c7nc(c(c\2nc(/C=C/2)c(c3ccc(OCC(=O)O)cc3)c5ccc4n5)c6ccc(OCC(=O)O)cc6)cc7)c8ccc(OCC(=O)O)cc8)\C=C\9
国际化学标识码 InChI 1S/C52H38N4O12/c57-45(58)25-65-33-9-1-29(2-10-33)49-37-17-19-39(53-37)50(30-3-11-34(12-4-30)66-26-46(59)60)41-21-23-43(55-41)52(32-7-15-36(16-8-32)68-28-48(63)64)44-24-22-42(56-44)51(40-20-18-38(49)54-40)31-5-13-35(14-6-31)67-27-47(61)62/h1-24,53,56H,25-28H2,(H,57,58)(H,59,60)(H,61,62)(H,63,64)/b49-37-,49-38-,50-39-,50-41-,51-40-,51-42-,52-43-,52-44-
国际化学标识检索码 InChIKey GIHZJFIAJYZVFA-QURNHSOUSA-N
物理化学性质
密度 1.444g/cm3 (计算值)
折射率 1.687 (计算值)
安全数据
SDS 化学品安全技术说明书参考文本
市场分析报告
请浏览2,2',2'',2'''-[5,10,15,20-卟啉四基四(4,1-亚苯基氧基)]四乙酸市场分析报告总目录
相关产品
2-(2-溴苯基)乙脒盐酸盐(1:1)  三(4-甲基苯基)锍三氟甲烷磺酸酯  (1-氧代-4-苯基-2(1H)-酞嗪基)乙酸  1-[4-(2-苯基乙基)苄基]萘  1-(3-甲基丁酰基)-2-咪唑烷酮  2-甲基-1-(2-硫代-1-咪唑烷基)-1-丙酮  1-异丁酰基四氢-2(1H)-嘧啶酮  4-(羟基甲基)-2(1H)-吡啶酮  1-溴-2-甲基-辛烷  1-溴-2-甲基癸烷  1-苄基-5-甲基-2-吡咯烷硫酮  1-苄基-5-乙基-2-吡咯烷硫酮  3-氨基-3-[4-(二氟甲氧基)苯基]丙酸  3-氨基-3-[2-(二氟甲氧基)苯基]丙酸  (2E)-3-[2-(二氟甲氧基)苯基]丙烯酸