Online Database of Chemicals from Around the World

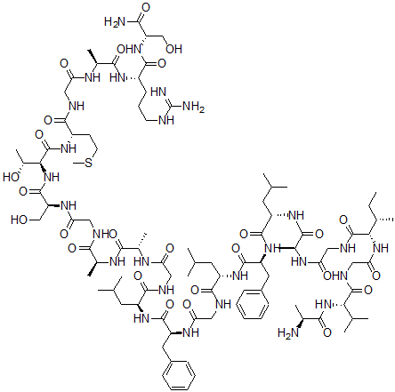
HIV Envelope protein gp41 (519-541)
[CAS# 128631-86-7]

供应商
CAS#: 128631-86-7
产品: HIV Envelope protein gp41 (519-541)
暂时没有厂家供应该产品。
基本信息
产品名称 HIV Envelope protein gp41 (519-541)
英文名 HIV Envelope protein gp41 (519-541)
别名 L-Alanyl-L-Valylglycyl-L-Isoleucylglycyl-L-Alanyl-L-Leucyl-L-Phenylalanyl-L-Leucylglycyl-L-Phenylalanyl-L-Leucylglycyl-L-Alanyl-L-Alanylglycyl-Seryl-L-Threonyl-L-Methionylglycyl-L-Alanyl-L-Arginyl-L-Serinamide; L-Serinamide, L-Alanyl-L-Valylglycyl-L-Isoleucylglycycl-L-Alanyl-L-Leucyl-L-Phenylalanyl-L-Leucylglycyl-L-Phenylalanyl-L-Leucylglycyl-L-Alanyl-L-Alanylglycyl-L-Seryl-L-Threonyl-L-Methionylglycyl-L-Alanyl-L-Arginyl-; L-Serinamide, L-Alanyl-L-Valylglycyl-L-Isoleucylglycyl-L-Alanyl-L-Leucyl-L-Phenylalanyl-L-Leucylglycyl-L-Phenylalanyl-L-Leucylglycyl-L-Alanyl-L-Alanylglycyl-L-Seryl-L-Threonyl-L-Methionylglycyl-L-Alanyl-L-Arginyl-
分子结构 CAS 登录号:128631-86-7, HIV Envelope protein gp41 (519-541)
分子式 C95H155N27O26S
分子量 2123.49
CAS 登录号 128631-86-7
分子行输入简码 SMILES [C@H](C(=O)N)(NC([C@@H](NC([C@@H](NC(CNC([C@@H](NC([C@@H](NC([C@@H](NC(CNC([C@@H](NC([C@@H](NC(CNC([C@@H](NC([C@@H](NC(CNC([C@@H](NC([C@@H](NC([C@@H](NC([C@@H](NC(CNC([C@@H](NC(CNC([C@@H](NC([C@@H](N)C)=O)C(C)C)=O)=O)[C@H](CC)C)=O)=O)C)=O)CC(C)C)=O)CC1=CC=CC=C1)=O)CC(C)C)=O)=O)CC2=CC=CC=C2)=O)CC(C)C)=O)=O)C)=O)C)=O)=O)CO)=O)[C@@H](C)O)=O)CCSC)=O)=O)C)=O)CCCNC(=N)N)=O)CO
国际化学标识码 InChI 1S/C95H155N27O26S/c1-18-51(10)76(120-74(131)44-105-92(146)75(50(8)9)121-79(133)52(11)96)93(147)106-41-71(128)109-56(15)83(137)115-64(36-49(6)7)88(142)118-66(38-59-28-23-20-24-29-59)90(144)117-63(35-48(4)5)86(140)104-43-72(129)111-65(37-58-26-21-19-22-27-58)89(143)116-62(34-47(2)3)85(139)103-40-70(127)107-54(13)81(135)110-53(12)80(134)101-42-73(130)112-68(46-124)91(145)122-77(57(16)125)94(148)114-61(31-33-149-17)84(138)102-39-69(126)108-55(14)82(136)113-60(30-25-32-100-95(98)99)87(141)119-67(45-123)78(97)132/h19-24,26-29,47-57,60-68,75-77,123-125H,18,25,30-46,96H2,1-17H3,(H2,97,132)(H,101,134)(H,102,138)(H,103,139)(H,104,140)(H,105,146)(H,106,147)(H,107,127)(H,108,126)(H,109,128)(H,110,135)(H,111,129)(H,112,130)(H,113,136)(H,114,148)(H,115,137)(H,116,143)(H,117,144)(H,118,142)(H,119,141)(H,120,131)(H,121,133)(H,122,145)(H4,98,99,100)/t51-,52-,53-,54-,55-,56-,57+,60-,61-,62-,63-,64-,65-,66-,67-,68-,75-,76-,77-/m0/s1
国际化学标识检索码 InChIKey CMHRHJIOJAOWST-DMZNSEDPSA-N
市场分析报告
请浏览HIV Envelope protein gp41 (519-541)市场分析报告总目录
相关产品
5-(溴甲基)-2-甲氧基吡啶  (3S)-4-[(1R,4R)-7-羟基-3-甲基...  (2R,4S,5R,6R)-5-乙酰氨基-4-氘氧...  3,4,5-三羟基-6-[[3,4,5-三羟基-6...  异苯并吡喃并[3,4-g][1,4]苯并二氧杂环己...  [1-(2-甲氧基苯氧基)-3-(甲基氨基磺酰基氧...  6-[3-[(3,4-二甲氧基苯基)甲基氨基]-2...  (2S,4S,5R,6R)-5-乙酰氨基-4-羟基...  (3Z)-3-(2,3-二羟基-4-甲基-6-氧代...  [(3aR,4S,6R,10S,11S,11aS)...  [(3aS,4S,6R,10S,11aR)-6-乙...  1,6-二硝基苯并[b]芘  3,6-二硝基苯并[a]芘  4-甲氧基苄基2,4-二-O-苄基-3-O-(2,...  2-(7-甲氧基-1H-吲哚-3-基)-2,2-二...