Online Database of Chemicals from Around the World

(2R,3S,4S,5R,6R)-2-(2-羟基乙基)-6-[(2R,3R,4S,5S,6R)-3,4,5-三羟基-6-(2-羟基乙基)四氢吡喃-2-基]氧基四氢吡喃-3,4,5-三醇
[CAS# 129729-05-1]

供应商
CAS#: 129729-05-1
产品: (2R,3S,4S,5R,6R)-2-(2-羟基乙基)-6-[(2R,3R,4S,5S,6R)-3,4,5-三羟基-6-(2-羟基乙基)四氢吡喃-2-基]氧基四氢吡喃-3,4,5-三醇
暂时没有厂家供应该产品。
基本信息
产品名称 (2R,3S,4S,5R,6R)-2-(2-羟基乙基)-6-[(2R,3R,4S,5S,6R)-3,4,5-三羟基-6-(2-羟基乙基)四氢吡喃-2-基]氧基四氢吡喃-3,4,5-三醇
英文名 (2R,3S,4S,5R,6R)-2-(2-Hydroxyethyl)-6-[(2R,3R,4S,5S,6R)-3,4,5-Trihydroxy-6-(2-Hydroxyethyl)Oxan-2-Yl]Oxyoxane-3,4,5-Triol
别名 (2R,3S,4S,5R,6R)-2-(2-Hydroxyethyl)-6-[(2R,3R,4S,5S,6R)-3,4,5-Trihydroxy-6-(2-Hydroxyethyl)Tetrahydropyran-2-Yl]Oxy-Tetrahydropyran-3,4,5-Triol; (2R,3S,4S,5R,6R)-2-(2-Hydroxyethyl)-6-[[(2R,3R,4S,5S,6R)-3,4,5-Trihydroxy-6-(2-Hydroxyethyl)-2-Tetrahydropyranyl]Oxy]Tetrahydropyran-3,4,5-Triol; (2R,3S,4S,5R,6R)-2-(2-Hydroxyethyl)-6-[(2R,3R,4S,5S,6R)-3,4,5-Trihydroxy-6-(2-Hydroxyethyl)Oxan-2-Yl]Oxy-Oxane-3,4,5-Triol
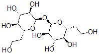
分子结构 CAS 登录号:129729-05-1, (2R,3S,4S,5R,6R)-2-(2-羟基乙基)-6-[(2R,3R,4S,5S,6R)-3,4,5-三羟基-6-(2-羟基乙基)四氢吡喃-2-基]氧基四氢吡喃-3,4,5-三醇
分子式 C14H26O11
分子量 370.35
CAS 登录号 129729-05-1
分子行输入简码 SMILES [C@@H]1([C@@H]([C@H]([C@H](O[C@@H]1CCO)O[C@@H]2[C@@H]([C@H]([C@@H]([C@H](O2)CCO)O)O)O)O)O)O
国际化学标识码 InChI 1S/C14H26O11/c15-3-1-5-7(17)9(19)11(21)13(23-5)25-14-12(22)10(20)8(18)6(24-14)2-4-16/h5-22H,1-4H2/t5-,6-,7-,8-,9+,10+,11-,12-,13-,14-/m1/s1
国际化学标识检索码 InChIKey BHOTZHLVAUACCY-LOUZWEESSA-N
物理化学性质
密度 1.638g/cm3 (计算值)
沸点 672.412°C at 760 mmHg (计算值)
闪点 360.462°C (计算值)
市场分析报告
请浏览(2R,3S,4S,5R,6R)-2-(2-羟基乙基)-6-[(2R,3R,4S,5S,6R)-3,4,5-三羟基-6-(2-羟基乙基)四氢吡喃-2-基]氧基四氢吡喃-3,4,5-三醇市场分析报告总目录
相关产品
(3S)-3-羟基-2,2-二甲基-4-(2-氧代...  (2R,3S,5R)-5-[2-氨基-6-(苯基甲...  2-羟基-4-甲氧基-6-甲基-苯甲酸3-甲酰基-...  (2E,4S,7E)-N-[[(1S,4S,8aR...  2-(1,3-二环己基-2,4,6-三氧代-1,3...  2-(1,3-二环己基-2,4,6-三氧代-1,3...  吗啉-4-基甲基2-(1,3-二环己基-2,4,6...  (7S)-7-甲基-8-(4-甲基苯基)亚磺酰-2...  (2S)-2-氨基-5-[[(2R)-3-(2-氨...  (2S,3R,5R,6S)-双环[2.2.1]庚烷...  2-[[(2S)-2-氯丙酰基]氨基]苯甲酰胺  四氯铂酸酯二阴离子-碱式品红络合物  5-环十九烷基-N-(1,3,4,5-四羟基十九烷...  [(2R,3R,4R,5S,6R)-3-乙酰氨基-...  磷酰酪氨酰血管紧张素II