基本信息
| 产品名称 |
N,N'-((7,12-二(1-(癸基氧基)乙基)-3,8,13,17-四甲基-21H,23H-卟吩-2,18-二基)二(1-氧代-3,1-丙烷二基))二-L-天冬氨酸 |
| 英文名 |
N,N'-((7,12-Bis(1-(Decyloxy)Ethyl)-3,8,13,17-Tetramethyl-21H,23H-Porphine-2,18-Diyl)Bis(1-Oxo-3,1-Propanediyl))Bis-L-Aspartic Acid |
| 别名 |
N,N'-((7,12-Bis(1-(Decyloxy)Ethyl)-3,8,13,17-Tetramethyl-21H,23H-Porphine-2,18-Diyl)Bis(1-Oxo-3,1-Propanediyl))Bis-L-Aspartic Acid; 2,4-Bis(1-Decyloxyethyl)Deuteroporphyrinyl-6,7-Bisaspartic Acid; C10-Dp |
|
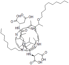
| 分子结构 |
 |
| 分子式 |
C62H88N6O12 |
| 分子量 |
1109.41 |
| CAS 登录号 |
129901-59-3 |
| 分子行输入简码 SMILES |
[C@@H](NC(=O)CCC1=C(C3=NC1=CC5=NC(=CC2=C(C(=C([NH]2)C=C4[NH]C(=C3)C(=C4C)C(OCCCCCCCCCC)C)C(OCCCCCCCCCC)C)C)C(=C5CCC(=O)N[C@H](C(=O)O)CC(=O)O)C)C)(C(=O)O)CC(=O)O |
| 国际化学标识码 InChI |
1S/C62H88N6O12/c1-9-11-13-15-17-19-21-23-29-79-41(7)59-39(5)47-31-45-37(3)43(25-27-55(69)67-53(61(75)76)35-57(71)72)49(63-45)34-50-44(26-28-56(70)68-54(62(77)78)36-58(73)74)38(4)46(64-50)32-51-60(40(6)48(66-51)33-52(59)65-47)42(8)80-30-24-22-20-18-16-14-12-10-2/h31-34,41-42,53-54,65-66H,9-30,35-36H2,1-8H3,(H,67,69)(H,68,70)(H,71,72)(H,73,74)(H,75,76)(H,77,78)/t41?,42?,53-,54-/m0/s1 |
| 国际化学标识检索码 InChIKey |
ASRBMCGLCGUUKP-DRAAIVICSA-N |
|