Online Database of Chemicals from Around the World

[1-[[(2S)-2-[(2R)-4,5-二羟基-3-氧代呋喃-2-基]-2-羟基乙氧基]-羟基磷酰]氧基-3-十四碳酰氧基丙-2-基]十四烷酸酯
[CAS# 133849-98-6]

供应商
CAS#: 133849-98-6
产品: [1-[[(2S)-2-[(2R)-4,5-二羟基-3-氧代呋喃-2-基]-2-羟基乙氧基]-羟基磷酰]氧基-3-十四碳酰氧基丙-2-基]十四烷酸酯
暂时没有厂家供应该产品。
基本信息
产品名称 [1-[[(2S)-2-[(2R)-4,5-二羟基-3-氧代呋喃-2-基]-2-羟基乙氧基]-羟基磷酰]氧基-3-十四碳酰氧基丙-2-基]十四烷酸酯
英文名 [1-[[(2S)-2-[(2R)-4,5-Dihydroxy-3-Oxofuran-2-Yl]-2-Hydroxyethoxy]-Hydroxyphosphoryl]Oxy-3-Tetradecanoyloxypropan-2-Yl] Tetradecanoate
别名 [1-[[[(2S)-2-[(2R)-4,5-Dihydroxy-3-Oxo-2-Furyl]-2-Hydroxy-Ethoxy]-Hydroxy-Phosphoryl]Oxymethyl]-2-Tetradecanoyloxy-Ethyl] Tetradecanoate; Tetradecanoic Acid [1-[[[(2S)-2-[(2R)-4,5-Dihydroxy-3-Oxo-2-Furyl]-2-Hydroxyethoxy]-Hydroxyphosphoryl]Oxymethyl]-2-(1-Oxotetradecoxy)Ethyl] Ester; Myristic Acid [1-[[[(2S)-2-[(2R)-4,5-Dihydroxy-3-Keto-2-Furyl]-2-Hydroxy-Ethoxy]-Hydroxy-Phosphoryl]Oxymethyl]-2-Tetradecanoyloxy-Ethyl] Ester
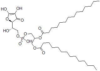
分子结构 CAS 登录号:133849-98-6, [1-[[(2S)-2-[(2R)-4,5-二羟基-3-氧代呋喃-2-基]-2-羟基乙氧基]-羟基磷酰]氧基-3-十四碳酰氧基丙-2-基]十四烷酸酯
分子式 C37H67O13P
分子量 750.90
CAS 登录号 133849-98-6
分子行输入简码 SMILES [C@@H](O)([C@H]1OC(=C(O)C1=O)O)CO[P](OCC(OC(=O)CCCCCCCCCCCCC)COC(=O)CCCCCCCCCCCCC)(O)=O
国际化学标识码 InChI 1S/C37H67O13P/c1-3-5-7-9-11-13-15-17-19-21-23-25-32(39)46-27-30(49-33(40)26-24-22-20-18-16-14-12-10-8-6-4-2)28-47-51(44,45)48-29-31(38)36-34(41)35(42)37(43)50-36/h30-31,36,38,42-43H,3-29H2,1-2H3,(H,44,45)/t30?,31-,36+/m0/s1
国际化学标识检索码 InChIKey ATIGLZGVTFBSFR-YJEPDJOESA-N
物理化学性质
密度 1.162g/cm3 (计算值)
沸点 804.74°C at 760 mmHg (计算值)
闪点 440.491°C (计算值)
市场分析报告
请浏览[1-[[(2S)-2-[(2R)-4,5-二羟基-3-氧代呋喃-2-基]-2-羟基乙氧基]-羟基磷酰]氧基-3-十四碳酰氧基丙-2-基]十四烷酸酯市场分析报告总目录
相关产品
2-(4-氯苯氧基)-N-甲基-N-(1-甲基-2...  beta-巯基-beta,beta-环戊基亚甲基丙...  (2S)-2-[[(2S)-2-[[2-[[2-[...  2-异丙基-5,5-二甲基噻唑烷-4-羧酸盐酸盐  2-(N-乙基-p-甲苯氨基)乙醇  2-[[(2E,4E,6E,8E)-3,7-二甲基...  [(2R)-2,5,7,8-四甲基-2-[(4R,...  (2S)-2-氨基-5-[[(2R)-1-(羧甲基...  (2S)-2-氨基-5-[[(2R)-1-(羧甲基...  4-(1,3-苯并二氧戊环-5-基)-9-[(2S...  2-氨基-5-羟基-1-甲基-5H-咪唑-4-酮  9,10-二氢-9-(3-二甲基氨基丙氧基)-9,...  4-呋喃-2-基-2,6-二甲基-1,4-二氢吡啶...  3-氯-6,8-二甲氧基异喹啉  锝氯化物(环己烷二酮二肟)3-间苯基异硫氰酸酯