Online Database of Chemicals from Around the World

(1S,2S,3S,6S,7R,9R)-9-{[二甲基(2-甲基-2-丙基)硅烷基]氧基}-1,4,4-三甲基-11-氧杂三环[5.3.1.02,6]十一烷-3-醇
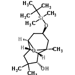
[CAS# 134176-24-2]

基本信息
产品名称 (1S,2S,3S,6S,7R,9R)-9-{[二甲基(2-甲基-2-丙基)硅烷基]氧基}-1,4,4-三甲基-11-氧杂三环[5.3.1.02,6]十一烷-3-醇
英文名 (1S,2S,3S,6S,7R,9R)-9-{[Dimethyl(2-Methyl-2-Propanyl)Silyl]Oxy}-1,4,4-Trimethyl-11-Oxatricyclo[5.3.1.02,6]Undecan-3-Ol
别名 1,4,4-Trimethyl-9-(tert-butyldimethylsilyloxy)-11-oxatricyclo(5.3.1.0(2,6))-undecan-3-ol; 1,4,4-Tsou
分子结构 CAS 登录号:134176-24-2, (1S,2S,3S,6S,7R,9R)-9-{[二甲基(2-甲基-2-丙基)硅烷基]氧基}-1,4,4-三甲基-11-氧杂三环[5.3.1.0<sup>2,6</sup>]十一烷-3-醇
分子式 C19H36O3Si
分子量 340.57
CAS 登录号 134176-24-2
分子行输入简码 SMILES O([Si](C(C)(C)C)(C)C)[C@H]3C[C@@]1(O[C@@H]([C@H]2CC([C@@H](O)[C@@H]12)(C)C)C3)C
国际化学标识码 InChI 1S/C19H36O3Si/c1-17(2,3)23(7,8)22-12-9-14-13-11-18(4,5)16(20)15(13)19(6,10-12)21-14/h12-16,20H,9-11H2,1-8H3/t12-,13-,14-,15+,16+,19+/m1/s1
国际化学标识检索码 InChIKey SSHVELVJONMEKY-IFVNRKHKSA-N
物理化学性质
密度 1.019g/cm3 (计算值)
沸点 381.675°C at 760 mmHg (计算值)
闪点 184.63°C (计算值)
折射率 1.495 (计算值)
市场分析报告
请浏览(1S,2S,3S,6S,7R,9R)-9-{[二甲基(2-甲基-2-丙基)硅烷基]氧基}-1,4,4-三甲基-11-氧杂三环[5.3.1.02,6]十一烷-3-醇市场分析报告总目录
相关产品
2,4,6,8-二十一四烯酸  1,1,1,3,3-五氯-3-氟丙烷  1,1,3,3-四氯-1-氟丙烷  3-氯-1,1,1,3-四氟丙烷  1,3-二氯-1,1-二氟丙烷  1-氯-1,1-二氟丙烷  2-十六碳基苯  8-十六碳基苯  5-甲酰基-3-甲基-1H-吡咯-2-羧酸  6,11-二氮杂三环[5.4.0.0<sup>4,...  7H-苯并噻喃并[6,5-d][1,3]噻唑  2-甲基-1-丙醇锆盐(4:1)  3-乙炔基-1H-茚  1-乙氧基-2-乙炔基环己烯  (1S,4R)-4-氨基-2-环戊烯-1-羧酸