Online Database of Chemicals from Around the World

6-(1,2-Dihydroxyethyl)-5-[6-(1,2-Dihydroxyethyl)-3,4,5-Trihydroxyoxan-2-Yl]Oxy-4-Hydroxy-2-[2-Hydroxy-6-Oxo-3-Phosphonooxy-5-(3-Tetradecanoyloxytetradecanoylamino)-4-(3-Tetradecanoyloxytetradecanoyloxy)Hexoxy]Oxane-2-Carboxylic Acid
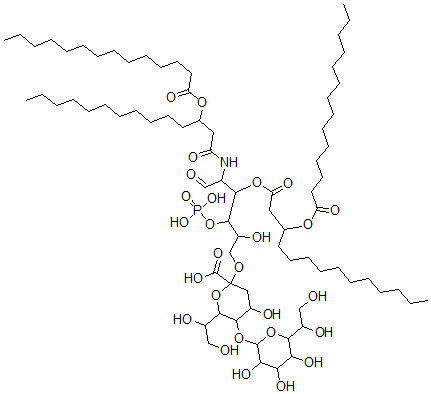
[CAS# 134404-00-5]

Suppliers
CAS#: 134404-00-5
Product: 6-(1,2-Dihydroxyethyl)-5-[6-(1,2-Dihydroxyethyl)-3,4,5-Trihydroxyoxan-2-Yl]Oxy-4-Hydroxy-2-[2-Hydroxy-6-Oxo-3-Phosphonooxy-5-(3-Tetradecanoyloxytetradecanoylamino)-4-(3-Tetradecanoyloxytetradecanoyloxy)Hexoxy]Oxane-2-Carboxylic Acid
No suppilers available for the product.
Identification
Name 6-(1,2-Dihydroxyethyl)-5-[6-(1,2-Dihydroxyethyl)-3,4,5-Trihydroxyoxan-2-Yl]Oxy-4-Hydroxy-2-[2-Hydroxy-6-Oxo-3-Phosphonooxy-5-(3-Tetradecanoyloxytetradecanoylamino)-4-(3-Tetradecanoyloxytetradecanoyloxy)Hexoxy]Oxane-2-Carboxylic Acid
Synonyms 6-(1,2-Dihydroxyethyl)-5-[6-(1,2-Dihydroxyethyl)-3,4,5-Trihydroxy-Tetrahydropyran-2-Yl]Oxy-4-Hydroxy-2-[2-Hydroxy-6-Oxo-3-Phosphonooxy-5-(3-Tetradecanoyloxytetradecanoylamino)-4-(3-Tetradecanoyloxytetradecanoyloxy)Hexoxy]Tetrahydropyran-2-Carboxylic Acid; 6-(1,2-Dihydroxyethyl)-5-[[6-(1,2-Dihydroxyethyl)-3,4,5-Trihydroxy-2-Tetrahydropyranyl]Oxy]-4-Hydroxy-2-[2-Hydroxy-6-Oxo-4-[1-Oxo-3-(1-Oxotetradecoxy)Tetradecoxy]-5-[[1-Oxo-3-(1-Oxotetradecoxy)Tetradecyl]Amino]-3-Phosphonooxyhexoxy]-2-Tetrahydropyrancarboxylic Acid; 6-(1,2-Dihydroxyethyl)-5-[6-(1,2-Dihydroxyethyl)-3,4,5-Trihydroxy-Tetrahydropyran-2-Yl]Oxy-4-Hydroxy-2-[2-Hydroxy-6-Keto-3-Phosphonooxy-5-(3-Tetradecanoyloxytetradecanoylamino)-4-(3-Tetradecanoyloxytetradecanoyloxy)Hexoxy]Tetrahydropyran-2-Carboxylic Acid
Molecular Structure CAS#: 134404-00-5, 6-(1,2-Dihydroxyethyl)-5-[6-(1,2-Dihydroxyethyl)-3,4,5-Trihydroxyoxan-2-Yl]Oxy-4-Hydroxy-2-[2-Hydroxy-6-Oxo-3-Phosphonooxy-5-(3-Tetradecanoyloxytetradecanoylamino)-4-(3-Tetradecanoyloxytetradecanoyloxy)Hexoxy]Oxane-2-Carboxylic Acid
Molecular Formula C77H142NO27P
Molecular Weight 1544.93
CAS Registry Number 134404-00-5
SMILES C(C(=O)NC(C(C(C(COC1(CC(C(C(O1)C(CO)O)OC2C(C(C(C(O2)C(CO)O)O)O)O)O)C(O)=O)O)O[P](=O)(O)O)OC(CC(OC(CCCCCCCCCCCCC)=O)CCCCCCCCCCC)=O)C=O)C(OC(CCCCCCCCCCCCC)=O)CCCCCCCCCCC
InChI 1S/C77H142NO27P/c1-5-9-13-17-21-25-27-31-35-39-43-47-64(87)99-56(45-41-37-33-29-23-19-15-11-7-3)49-63(86)78-58(52-79)70(101-66(89)50-57(46-42-38-34-30-24-20-16-12-8-4)100-65(88)48-44-40-36-32-28-26-22-18-14-10-6-2)74(105-106(95,96)97)62(85)55-98-77(76(93)94)51-59(82)72(73(104-77)61(84)54-81)103-75-69(92)67(90)68(91)71(102-75)60(83)53-80/h52,56-62,67-75,80-85,90-92H,5-51,53-55H2,1-4H3,(H,78,86)(H,93,94)(H2,95,96,97)
InChIKey PGLGZCRDMQJGFS-UHFFFAOYSA-N
Properties
Density 1.22g/cm3 (Cal.)
Market Analysis Reports
List of Reports Available for 6-(1,2-Dihydroxyethyl)-5-[6-(1,2-Dihydroxyethyl)-3,4,5-Trihydroxyoxan-2-Yl]Oxy-4-Hydroxy-2-[2-Hydroxy-6-Oxo-3-Phosphonooxy-5-(3-Tetradecanoyloxytetradecanoylamino)-4-(3-Tetradecanoyloxytetradecanoyloxy)Hexoxy]Oxane-2-Carboxylic Acid
Related Products
Methyl 2-[[(2S)-1-[[(2S)-2-Formamido-4-M...  2-[[(2S)-1-[(2S)-2-[[(2S)-1-[(2S)-2-Amin...  N-Butyl-2-[5-[4-[(11S,13S,17S)-3,17-Dihy...  Phenyl-(4-Piperidin-1-Ylcyclohexyl)Metha...  Diiodo-Philanthotoxin-343-Arginine  (NE)-N-(1-Hydroxy-5-Methylquinolin-4-Yli...  6-(3,3-Diphenylpropyl)-1,2,5,6-Tetrahydr...  (NE)-N-(1-Hydroxy-7-Methylquinolin-4-Yli...  (NE)-N-(5-Chloro-1-Hydroxyquinolin-4-Yli...  (NE)-N-(6,7-Dichloro-1-Hydroxyquinolin-4...  Silicic Acid Zirconium Salt  (4E)-1-Hydroxy-4-Hydroxyiminoquinoline-6...  [(2R,3R,4R,5R)-5-(5-Fluoro-2,4-Dioxopyri...  Methyl 2-[5-[Bis(2-Chloroethyl)Amino]-1-...  1-(1-Ethoxyethoxy)Pentane