Online Database of Chemicals from Around the World

液氨;[(1R,2S,3R,4R,5S,6S)-2,3-二羟基-4,5,6-三膦酰氧基-环己基]磷酸二氢酯
[CAS# 135027-59-7]

供应商
Glentham Life Sciences 英国 询价快递  
+44 (2033) 978-798
info@glenthamls.com
化学品供销商(2013 年起)
International Laboratory Limited 美国 询价快递  
+1 (650) 278-9963
admin@intlab.org
化学品生产商(2002 年起)
基本信息
产品名称 液氨;[(1R,2S,3R,4R,5S,6S)-2,3-二羟基-4,5,6-三膦酰氧基-环己基]磷酸二氢酯
英文名 Ammonia; [(1R,2S,3R,4R,5S,6S)-2,3-Dihydroxy-4,5,6-Triphosphonooxy-Cyclohexyl] Dihydrogen Phosphate
别名 Ins(1,4,5,6)P4, NH4+
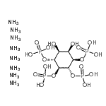
分子结构 CAS 登录号:135027-59-7, 液氨;[(1R,2S,3R,4R,5S,6S)-2,3-二羟基-4,5,6-三膦酰氧基-环己基]磷酸二氢酯
分子式 C6H40N8O18P4
分子量 636.32
CAS 登录号 135027-59-7
分子行输入简码 SMILES [C@H]1([C@@H]([C@H]([C@@H]([C@H]([C@@H]1OP(=O)(O)O)OP(=O)(O)O)OP(=O)(O)O)OP(=O)(O)O)O)O.N.N.N.N.N.N.N.N
国际化学标识码 InChI 1S/C6H16O18P4.8H3N/c7-1-2(8)4(22-26(12,13)14)6(24-28(18,19)20)5(23-27(15,16)17)3(1)21-25(9,10)11;;;;;;;;/h1-8H,(H2,9,10,11)(H2,12,13,14)(H2,15,16,17)(H2,18,19,20);8*1H3/t1-,2+,3-,4-,5+,6+;;;;;;;;/m1......../s1
国际化学标识检索码 InChIKey CTBLEQHLXAUEKH-FPQWBLQBSA-N
物理化学性质
折射率 (计算值)
市场分析报告
请浏览液氨;[(1R,2S,3R,4R,5S,6S)-2,3-二羟基-4,5,6-三膦酰氧基-环己基]磷酸二氢酯市场分析报告总目录
相关产品
6-羟基-2-(羟基甲基)-2H-吡喃-3(6H)...  (3R,4R,5R)-3-氨基-4,5-二羟基-2...  (1S,3S,5S)-1-乙炔基-2-亚甲基双环[...  (3alpha,9S)-9-(9-蒽基氧基)-6'...  (3alpha,9S)-6'-甲氧基-9-[(4-...  4-氨基-2-(氨基甲基)苯酚二盐酸盐  2-氨基-6-甲基-4A,5,6,7,8,8A-六...  (1R,2R)-1-氨基-2-茚满羧酸盐酸盐(1:...  (1R,2S)-2-氨基-N-甲基环戊烷甲酰胺  1-氨基-2-茚满羧酸  4,8-十一烷二酮  3-羟基-1-苯基-1-丁酮  甲基4-(氯甲酰基)-2-吡啶羧酸酯  叔-丁基N-(1-乙基-3-羟基-丙基)氨基甲酸酯  4-丙基-2,3-吡啶二胺