Online Database of Chemicals from Around the World

环(L-精氨酰-L-亮氨酰-L-天冬氨酰胺酰-L-苏氨酰-L-丝氨酰-L-苯丙氨酰-L-苏氨酰-L-脯氨酰)
[CAS# 135329-52-1]

基本信息
产品名称 环(L-精氨酰-L-亮氨酰-L-天冬氨酰胺酰-L-苏氨酰-L-丝氨酰-L-苯丙氨酰-L-苏氨酰-L-脯氨酰)
英文名 Cyclo(L-Arginyl-L-Leucyl-L-Asparaginyl-L-Threonyl-L-Seryl-L-Phenylalanyl-L-Threonyl-L-Prolyl)
别名 (2S)-2-[[(2S)-2-[[(2S)-2-Amino-5-Guanidino-Pentanoyl]Amino]-4-Methyl-Pentanoyl]Amino]-N-[(1S,2R)-1-[[(1S)-1-Formyl-2-[[(1S)-2-[[(1S,2R)-1-[(2S)-2-Formylpyrrolidine-1-Carbonyl]-2-Hydroxy-Propyl]Amino]-2-Oxo-1-(Phenylmethyl)Ethyl]Amino]-2-Oxo-Ethyl]Carbamoyl]-2-Hydroxy-Propyl]Butanediamide; (2S)-2-[[(2S)-2-[[(2S)-2-Amino-5-Guanidino-1-Oxopentyl]Amino]-4-Methyl-1-Oxopentyl]Amino]-N-[(1S,2R)-1-[[[(1S)-1-Formyl-2-[[(1S)-2-[[(1S,2R)-1-[[(2S)-2-Formyl-1-Pyrrolidinyl]-Oxomethyl]-2-Hydroxypropyl]Amino]-2-Oxo-1-(Phenylmethyl)Ethyl]Amino]-2-Oxoethyl]Amino]-Oxomethyl]-2-Hydroxypropyl]Butanediamide; (2S)-2-[[(2S)-2-[[(2S)-2-Amino-5-Guanidino-Pentanoyl]Amino]-4-Methyl-Pentanoyl]Amino]-N-[(1S,2R)-1-[[(1S)-2-[[(1S)-1-(Benzyl)-2-[[(1S,2R)-1-[(2S)-2-Formylpyrrolidine-1-Carbonyl]-2-Hydroxy-Propyl]Amino]-2-Keto-Ethyl]Amino]-1-Formyl-2-Keto-Ethyl]Carbamoyl]-2-Hydroxy-Propyl]Succinamide
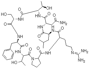
分子结构 CAS 登录号:135329-52-1, 环(L-精氨酰-L-亮氨酰-L-天冬氨酰胺酰-L-苏氨酰-L-丝氨酰-L-苯丙氨酰-L-苏氨酰-L-脯氨酰)
分子式 C41H64N12O12
分子量 917.03
CAS 登录号 135329-52-1
分子行输入简码 SMILES [C@@H]1(N(CCC1)C(=O)[C@@H](NC(=O)[C@@H](NC(=O)[C@@H](NC(=O)[C@@H](NC(=O)[C@@H](NC(=O)[C@@H](NC(=O)[C@@H](N)CCCN=C(N)N)CC(C)C)CC(=O)N)[C@H](O)C)C=O)CC2=CC=CC=C2)[C@H](O)C)C=O
国际化学标识码 InChI 1S/C41H64N12O12/c1-21(2)16-27(47-34(59)26(42)13-8-14-46-41(44)45)35(60)49-29(18-31(43)58)37(62)51-32(22(3)56)39(64)50-30(20-55)38(63)48-28(17-24-10-6-5-7-11-24)36(61)52-33(23(4)57)40(65)53-15-9-12-25(53)19-54/h5-7,10-11,19-23,25-30,32-33,56-57H,8-9,12-18,42H2,1-4H3,(H2,43,58)(H,47,59)(H,48,63)(H,49,60)(H,50,64)(H,51,62)(H,52,61)(H4,44,45,46)/t22-,23-,25+,26+,27+,28+,29+,30+,32+,33+/m1/s1
国际化学标识检索码 InChIKey XJEDHMKXUIQJEP-SIDKUONNSA-N
物理化学性质
密度 1.461g/cm3 (计算值)
市场分析报告
请浏览环(L-精氨酰-L-亮氨酰-L-天冬氨酰胺酰-L-苏氨酰-L-丝氨酰-L-苯丙氨酰-L-苏氨酰-L-脯氨酰)市场分析报告总目录
相关产品
4-(乙基(2-羟基乙基)氨基)-偶氮苯氯化物与氯...  2-丙烯酸(9Z)-9-十八碳烯-1-基酯  4-甲氧基-N-(2-噻吩基亚甲基)-苯胺  N-[2-(乙酰氧基)乙基]-N-苯基-乙酰胺  溴化镧  (T-4)-二氟二氧代-铀  硫化氢(D2S)  高氯酸铬盐(3:1)  高氯酸铁盐(3:1)  4-甲基-2-氧代-环己烷羧酸乙酯  (2E,4E,6Z,8E,10E,12R,13R,...  6-氨基-2-吡啶甲酰胺  3-溴-苯酚 1-(N-甲基氨基甲酸酯)  2,5-二(十二烷基二硫代)-1,3,4-噻二唑  5-(二甲基氨基)-9-甲基-2-丙基-1H-吡唑...