Online Database of Chemicals from Around the World

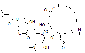
[6-[4-二甲基氨基-6-[[10-二甲基氨基-4-羟基-5-甲氧基-9,16-二甲基-2-氧代-7-(2-氧代乙基)-1-氧杂环十六烷-6-基]氧基]-5-羟基-2-甲基四氢吡喃-3-基]氧基-4-羟基-2,4-二甲基四氢吡喃-3-基]3-甲基丁酸酯
[CAS# 135363-57-4]

供应商
CAS#: 135363-57-4
产品: [6-[4-二甲基氨基-6-[[10-二甲基氨基-4-羟基-5-甲氧基-9,16-二甲基-2-氧代-7-(2-氧代乙基)-1-氧杂环十六烷-6-基]氧基]-5-羟基-2-甲基四氢吡喃-3-基]氧基-4-羟基-2,4-二甲基四氢吡喃-3-基]3-甲基丁酸酯
暂时没有厂家供应该产品。
基本信息
产品名称 [6-[4-二甲基氨基-6-[[10-二甲基氨基-4-羟基-5-甲氧基-9,16-二甲基-2-氧代-7-(2-氧代乙基)-1-氧杂环十六烷-6-基]氧基]-5-羟基-2-甲基四氢吡喃-3-基]氧基-4-羟基-2,4-二甲基四氢吡喃-3-基]3-甲基丁酸酯
英文名 [6-[4-Dimethylamino-6-[[10-Dimethylamino-4-Hydroxy-5-Methoxy-9,16-Dimethyl-2-Oxo-7-(2-Oxoethyl)-1-Oxacyclohexadec-6-Yl]Oxy]-5-Hydroxy-2-Methyloxan-3-Yl]Oxy-4-Hydroxy-2,4-Dimethyloxan-3-Yl] 3-Methylbutanoate
别名 [6-[4-Dimethylamino-6-[[10-Dimethylamino-4-Hydroxy-5-Methoxy-9,16-Dimethyl-2-Oxo-7-(2-Oxoethyl)-1-Oxacyclohexadec-6-Yl]Oxy]-5-Hydroxy-2-Methyl-Tetrahydropyran-3-Yl]Oxy-4-Hydroxy-2,4-Dimethyl-Tetrahydropyran-3-Yl] 3-Methylbutanoate; 3-Methylbutanoic Acid [6-[[4-Dimethylamino-6-[[10-Dimethylamino-4-Hydroxy-5-Methoxy-9,16-Dimethyl-2-Oxo-7-(2-Oxoethyl)-1-Oxacyclohexadec-6-Yl]Oxy]-5-Hydroxy-2-Methyl-3-Tetrahydropyranyl]Oxy]-4-Hydroxy-2,4-Dimethyl-3-Tetrahydropyranyl] Ester; 3-Methylbutyric Acid [6-[4-Dimethylamino-6-[[10-Dimethylamino-4-Hydroxy-2-Keto-7-(2-Ketoethyl)-5-Methoxy-9,16-Dimethyl-1-Oxacyclohexadec-6-Yl]Oxy]-5-Hydroxy-2-Methyl-Tetrahydropyran-3-Yl]Oxy-4-Hydroxy-2,4-Dimethyl-Tetrahydropyran-3-Yl] Ester
分子结构 CAS 登录号:135363-57-4, [6-[4-二甲基氨基-6-[[10-二甲基氨基-4-羟基-5-甲氧基-9,16-二甲基-2-氧代-7-(2-氧代乙基)-1-氧杂环十六烷-6-基]氧基]-5-羟基-2-甲基四氢吡喃-3-基]氧基-4-羟基-2,4-二甲基四氢吡喃-3-基]3-甲基丁酸酯
分子式 C42H76N2O13
分子量 817.07
CAS 登录号 135363-57-4
分子行输入简码 SMILES C(C1C(C(C(CC(OC(CCCCCC(C(C1)C)N(C)C)C)=O)O)OC)OC3C(C(C(OC2CC(C(OC(CC(C)C)=O)C(O2)C)(C)O)C(O3)C)N(C)C)O)C=O
国际化学标识码 InChI 1S/C42H76N2O13/c1-24(2)20-32(47)55-40-28(6)53-34(23-42(40,7)50)56-37-27(5)54-41(36(49)35(37)44(10)11)57-38-29(18-19-45)21-25(3)30(43(8)9)17-15-13-14-16-26(4)52-33(48)22-31(46)39(38)51-12/h19,24-31,34-41,46,49-50H,13-18,20-23H2,1-12H3
国际化学标识检索码 InChIKey XKVKOEWRSDXDPU-UHFFFAOYSA-N
市场分析报告
请浏览[6-[4-二甲基氨基-6-[[10-二甲基氨基-4-羟基-5-甲氧基-9,16-二甲基-2-氧代-7-(2-氧代乙基)-1-氧杂环十六烷-6-基]氧基]-5-羟基-2-甲基四氢吡喃-3-基]氧基-4-羟基-2,4-二甲基四氢吡喃-3-基]3-甲基丁酸酯市场分析报告总目录
相关产品
4-氧代-4-(1-苯基戊氧基)丁酸  9-(2-氢过氧基-3-甲基丁-3-烯氧基)呋喃并...  膦-D3  磷酸铕(III)  肼二氟化物  2-[2-羟基乙基-(2-氧代-2-氧代乙基)氨基...  异丙基膦酸乙基对硝基苯基酯  N-[(E)-3-(2-氨基-3H-咪唑-4-基)...  6-溴-3-苯基异色满-5-醇  3-氯-5-[(4,6-二甲氧基嘧啶-2-基)氨基...  4-叠氮基-N-[5-[2-[(4-甲氧基苯基)甲...  2-[3-(4-叠氮基苯基)丙基氨基]-5-硝基苯...  N-(2,5-二乙氧基-4-硝基苯基)苯甲酰胺  (6aR,10aR)-1-甲氧基-6,6-二甲基-...  2-[5-(二氨基亚甲基氨基)-2-十二烷氧基苯基...