Online Database of Chemicals from Around the World

生物素-赖氨酰-酪氨酰-甘氨酰-甘氨酰-甘氨酰-甘氨酰-甘氨酰-甘氨酰-精氨酰-脯氨酰-精氨酰-脯氨酰-谷氨酰胺酰-谷氨酰胺酰-苯丙氨酰-苯丙氨酰-甘氨酰-亮氨酰-蛋氨酰-酰胺
[CAS# 137084-95-8]

供应商
CAS#: 137084-95-8
产品: 生物素-赖氨酰-酪氨酰-甘氨酰-甘氨酰-甘氨酰-甘氨酰-甘氨酰-甘氨酰-精氨酰-脯氨酰-精氨酰-脯氨酰-谷氨酰胺酰-谷氨酰胺酰-苯丙氨酰-苯丙氨酰-甘氨酰-亮氨酰-蛋氨酰-酰胺
暂时没有厂家供应该产品。
基本信息
产品名称 生物素-赖氨酰-酪氨酰-甘氨酰-甘氨酰-甘氨酰-甘氨酰-甘氨酰-甘氨酰-精氨酰-脯氨酰-精氨酰-脯氨酰-谷氨酰胺酰-谷氨酰胺酰-苯丙氨酰-苯丙氨酰-甘氨酰-亮氨酰-蛋氨酰-酰胺
英文名 Biotin-lys-tyr-gly-gly-gly-gly-gly-gly-arg-pro-arg-pro-gln-gln-phe-phe-gly-leu-met-amide
别名 Substance P, Biotin-Nte-Arginine(3)-; Biotin-Lys-Tyr-Gly-Gly-Gly-Gly-Gly-Gly-Arg-Pro-Arg-Pro-Gln-Gln-Phe-Phe-Gly-Leu-Met-Amide; Biotin-Nte-3-Arg-Substance P
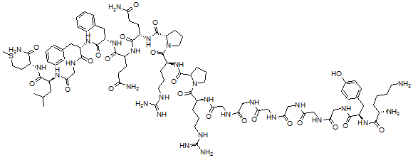
分子结构 CAS 登录号:137084-95-8, 生物素-赖氨酰-酪氨酰-甘氨酰-甘氨酰-甘氨酰-甘氨酰-甘氨酰-甘氨酰-精氨酰-脯氨酰-精氨酰-脯氨酰-谷氨酰胺酰-谷氨酰胺酰-苯丙氨酰-苯丙氨酰-甘氨酰-亮氨酰-蛋氨酰-酰胺
分子式 C90H137N29O22S
分子量 2009.31
CAS 登录号 137084-95-8
分子行输入简码 SMILES [C@@H](N)(C(=O)N[C@@H](C(NCC(NCC(NCC(NCC(NCC(NCC(N[C@@H](CCCNC(N)=N)C(N4C(C(N[C@H](C(N3[C@H](C(N[C@H](C(NC(C(N[C@H](C(=O)N[C@H](C(=O)NCC(=O)N[C@@H](CC(C)C)C(N[C@H](CCSC)C(=O)N)=O)CC1=CC=CC=C1)CC2=CC=CC=C2)=O)CCC(=O)N)=O)CCC(N)=O)=O)CCC3)=O)CCCNC(N)=N)=O)CCC4)=O)=O)=O)=O)=O)=O)=O)=O)CC5=CC=C(C=C5)O)CCCCN
国际化学标识码 InChI 1S/C90H137N29O22S/c1-51(2)40-62(83(136)111-57(77(95)130)33-39-142-3)110-76(129)50-108-80(133)64(41-52-16-6-4-7-17-52)116-84(137)65(42-53-18-8-5-9-19-53)117-82(135)58(29-31-68(93)121)112-81(134)59(30-32-69(94)122)113-85(138)66-23-14-38-119(66)88(141)61(22-13-36-101-90(98)99)114-86(139)67-24-15-37-118(67)87(140)60(21-12-35-100-89(96)97)109-75(128)49-106-73(126)47-104-71(124)45-102-70(123)44-103-72(125)46-105-74(127)48-107-79(132)63(43-54-25-27-55(120)28-26-54)115-78(131)56(92)20-10-11-34-91/h4-9,16-19,25-28,51,56-67,120H,10-15,20-24,29-50,91-92H2,1-3H3,(H2,93,121)(H2,94,122)(H2,95,130)(H,102,123)(H,103,125)(H,104,124)(H,105,127)(H,106,126)(H,107,132)(H,108,133)(H,109,128)(H,110,129)(H,111,136)(H,112,134)(H,113,138)(H,114,139)(H,115,131)(H,116,137)(H,117,135)(H4,96,97,100)(H4,98,99,101)/t56-,57+,58?,59-,60-,61-,62-,63+,64-,65-,66-,67?/m0/s1
国际化学标识检索码 InChIKey PFCMPWQJTZIJTL-MYECVGNHSA-N
市场分析报告
请浏览生物素-赖氨酰-酪氨酰-甘氨酰-甘氨酰-甘氨酰-甘氨酰-甘氨酰-甘氨酰-精氨酰-脯氨酰-精氨酰-脯氨酰-谷氨酰胺酰-谷氨酰胺酰-苯丙氨酰-苯丙氨酰-甘氨酰-亮氨酰-蛋氨酰-酰胺市场分析报告总目录
相关产品
3-(丁酰基氨基)苯甲酰胺  [(E,3S)-1-(2,6,6-三甲基-1-环己...  钡锆硅酸盐 (1:1:3)  膦酸二钠盐  (E)-N-[2-(2-环己基乙基硫基)乙基]癸-...  (E)-二十碳-11-烯-14-炔酸  5-氨基甲酰基硫基-2-硝基苯甲酸  Bisnoryangonin  硫单氟化物  氙二氟化物  硫基氧基四氟化物  钚四氟化物  钍氟化物  二溴硼烷  (1S,3aS,3bS,5aR,9aR,9bS,1...