Online Database of Chemicals from Around the World

(1R-(1alpha,2alpha,3beta,9beta,13alpha,17beta,18alpha,19beta))-2,8,13,18-Tetrakis(Carboxymethyl)-7,8,11,12-Tetradehydro-9,10,11,22-Tetrahydro-3,9,13,18,19-Pentamethyl-3,7,12,17-Corrintetrapropanoic Acid
[CAS# 139663-55-1]

Suppliers
CAS#: 139663-55-1
Product: (1R-(1alpha,2alpha,3beta,9beta,13alpha,17beta,18alpha,19beta))-2,8,13,18-Tetrakis(Carboxymethyl)-7,8,11,12-Tetradehydro-9,10,11,22-Tetrahydro-3,9,13,18,19-Pentamethyl-3,7,12,17-Corrintetrapropanoic Acid
No suppilers available for the product.
Identification
Name (1R-(1alpha,2alpha,3beta,9beta,13alpha,17beta,18alpha,19beta))-2,8,13,18-Tetrakis(Carboxymethyl)-7,8,11,12-Tetradehydro-9,10,11,22-Tetrahydro-3,9,13,18,19-Pentamethyl-3,7,12,17-Corrintetrapropanoic Acid
Synonyms Cpd-679; Precorrin-6Y
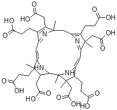
Molecular Structure CAS#: 139663-55-1, (1R-(1alpha,2alpha,3beta,9beta,13alpha,17beta,18alpha,19beta))-2,8,13,18-Tetrakis(Carboxymethyl)-7,8,11,12-Tetradehydro-9,10,11,22-Tetrahydro-3,9,13,18,19-Pentamethyl-3,7,12,17-Corrintetrapropanoic Acid
Molecular Formula C44H56N4O16
Molecular Weight 896.94
CAS Registry Number 139663-55-1
SMILES C(C5(C2(NC(=C\C1=NC(=C(C1(CC(O)=O)C)CCC(O)=O)CC4(N=C(/C=C/3NC2C(C3(CCC(O)=O)C)CC(O)=O)C(=C4CC(O)=O)CCC(O)=O)C)/C5CCC(O)=O)C)C)C(O)=O
InChI 1S/C44H56N4O16/c1-40(13-12-34(55)56)25(15-36(59)60)39-44(5)42(3,20-38(63)64)23(8-11-33(53)54)27(48-44)17-30-41(2,19-37(61)62)22(7-10-32(51)52)28(45-30)18-43(4)24(14-35(57)58)21(6-9-31(49)50)26(47-43)16-29(40)46-39/h16-17,23,25,39,46,48H,6-15,18-20H2,1-5H3,(H,49,50)(H,51,52)(H,53,54)(H,55,56)(H,57,58)(H,59,60)(H,61,62)(H,63,64)/b27-17-,29-16-
InChIKey UZVGLSZJXWVSGT-PBOPUUKSSA-N
Properties
Density 1.512g/cm3 (Cal.)
Boiling point 1169.285°C at 760 mmHg (Cal.)
Flash point 660.96°C (Cal.)
Market Analysis Reports
List of Reports Available for (1R-(1alpha,2alpha,3beta,9beta,13alpha,17beta,18alpha,19beta))-2,8,13,18-Tetrakis(Carboxymethyl)-7,8,11,12-Tetradehydro-9,10,11,22-Tetrahydro-3,9,13,18,19-Pentamethyl-3,7,12,17-Corrintetrapropanoic Acid
Related Products
(1R-(1alpha,2alpha,3beta,9beta,13alpha,1...  Hafnium dihydride  phosphino radical  Ruthenium-106  Scandium-46  Cesium134  Strontium85  Cerium-141  2-[2-[(2E,6E)-3-(Hydroxymethyl)-7-Methyl...  hydroxyl cation  Methyl 7-(Hydroxymethyl)-2,4A,5,7alpha-T...  5-Hydroxy-4,7-Dimethoxy-2H-Benzo[g]Isoqu...  Phenatine  Antimony  Uranium-233