Online Database of Chemicals from Around the World

[(2R)-1-[[2-[(2-氨基-6-氧代-3H-嘌呤-9-基)甲氧基]乙氧基-羟基磷酰]氧基-羟基磷酰]氧基-3-十四碳酰氧基丙-2-基]十四烷酸酯
[CAS# 139701-81-8]

供应商
CAS#: 139701-81-8
产品: [(2R)-1-[[2-[(2-氨基-6-氧代-3H-嘌呤-9-基)甲氧基]乙氧基-羟基磷酰]氧基-羟基磷酰]氧基-3-十四碳酰氧基丙-2-基]十四烷酸酯
暂时没有厂家供应该产品。
基本信息
产品名称 [(2R)-1-[[2-[(2-氨基-6-氧代-3H-嘌呤-9-基)甲氧基]乙氧基-羟基磷酰]氧基-羟基磷酰]氧基-3-十四碳酰氧基丙-2-基]十四烷酸酯
英文名 [(2R)-1-[[2-[(2-Amino-6-Oxo-3H-Purin-9-Yl)Methoxy]Ethoxy-Hydroxyphosphoryl]Oxy-Hydroxyphosphoryl]Oxy-3-Tetradecanoyloxypropan-2-Yl] Tetradecanoate
别名 [(1R)-1-[[[2-[(2-Amino-6-Oxo-3H-Purin-9-Yl)Methoxy]Ethoxy-Hydroxy-Phosphoryl]Oxy-Hydroxy-Phosphoryl]Oxymethyl]-2-Tetradecanoyloxy-Ethyl] Tetradecanoate; Tetradecanoic Acid [(1R)-1-[[[2-[(2-Amino-6-Oxo-3H-Purin-9-Yl)Methoxy]Ethoxy-Hydroxyphosphoryl]Oxy-Hydroxyphosphoryl]Oxymethyl]-2-(1-Oxotetradecoxy)Ethyl] Ester; Myristic Acid [(1R)-1-[[[2-[(2-Amino-6-Keto-3H-Purin-9-Yl)Methoxy]Ethoxy-Hydroxy-Phosphoryl]Oxy-Hydroxy-Phosphoryl]Oxymethyl]-2-Tetradecanoyloxy-Ethyl] Ester
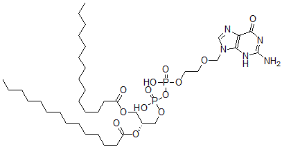
分子结构 CAS 登录号:139701-81-8, [(2R)-1-[[2-[(2-氨基-6-氧代-3H-嘌呤-9-基)甲氧基]乙氧基-羟基磷酰]氧基-羟基磷酰]氧基-3-十四碳酰氧基丙-2-基]十四烷酸酯
分子式 C39H71N5O13P2
分子量 879.96
CAS 登录号 139701-81-8
分子行输入简码 SMILES [C@H](CO[P](O[P](OCCOC[N]1C=NC2=C1NC(=NC2=O)N)(=O)O)(=O)O)(COC(CCCCCCCCCCCCC)=O)OC(=O)CCCCCCCCCCCCC
国际化学标识码 InChI 1S/C39H71N5O13P2/c1-3-5-7-9-11-13-15-17-19-21-23-25-34(45)53-29-33(56-35(46)26-24-22-20-18-16-14-12-10-8-6-4-2)30-55-59(50,51)57-58(48,49)54-28-27-52-32-44-31-41-36-37(44)42-39(40)43-38(36)47/h31,33H,3-30,32H2,1-2H3,(H,48,49)(H,50,51)(H3,40,42,43,47)/t33-/m1/s1
国际化学标识检索码 InChIKey FSGKYMRFBHSKFV-MGBGTMOVSA-N
物理化学性质
密度 1.291g/cm3 (计算值)
沸点 926.646°C at 760 mmHg (计算值)
闪点 514.217°C (计算值)
市场分析报告
请浏览[(2R)-1-[[2-[(2-氨基-6-氧代-3H-嘌呤-9-基)甲氧基]乙氧基-羟基磷酰]氧基-羟基磷酰]氧基-3-十四碳酰氧基丙-2-基]十四烷酸酯市场分析报告总目录
相关产品
(2R,3S,8R)-3-[(2R,3S,4S,5...  二丁基二乙酰氧基锗烷  N-(3-氯苯基)甲酰胺  3,4,5-三羟基-6-[5-羟基-6-甲基-2-...  (乙基亚胺)二-2,1-乙烷二基二甲基丙烯酸酯  N-甲基-3-(1-苯基-1-茚满基)丙-1-胺盐...  1-(1,4-苯并二恶烷-2-基)-1,2-乙二醇...  1-(1,4-苯并二恶烷-2-基)-1,2-乙二醇...  溴叠氮化物  氯叠氮化物  (3beta,5alpha,12alpha,13b...  (3R,5S)-3-(羟基甲基)-1-氮杂双环[3...  2-[(3aS)-6-甲酰基-2,2,4-三甲基-...  2,3-二(4-羟基苯基)丙烷-1,2-二醇  9-[[(Z)-3-碘丙-2-烯氧基]甲基]嘌呤-...