Online Database of Chemicals from Around the World

(3S,6R,12S,15R)-3-[(2S)-Butan-2-Yl]-19-Heptyl-9-(1-Hydroxyethyl)-12-(Hydroxymethyl)-15-(2-Methylpropyl)-6-(Phenylmethyl)-1-Oxa-4,7,10,13,16-Pentazacyclononadecane-2,5,8,11,14,17-Hexone
[CAS# 140909-80-4]

Identification
Name (3S,6R,12S,15R)-3-[(2S)-Butan-2-Yl]-19-Heptyl-9-(1-Hydroxyethyl)-12-(Hydroxymethyl)-15-(2-Methylpropyl)-6-(Phenylmethyl)-1-Oxa-4,7,10,13,16-Pentazacyclononadecane-2,5,8,11,14,17-Hexone
Synonyms (3S,6R,12S,15R)-19-Heptyl-9-(1-Hydroxyethyl)-12-(Hydroxymethyl)-15-Isobutyl-6-(Phenylmethyl)-3-Sec-Butyl-1-Oxa-4,7,10,13,16-Pentazacyclononadecane-2,5,8,11,14,17-Hexone; (3S,6R,12S,15R)-6-(Benzyl)-19-Heptyl-9-(1-Hydroxyethyl)-15-Isobutyl-12-Methylol-3-Sec-Butyl-1-Oxa-4,7,10,13,16-Pentazacyclononadecane-2,5,8,11,14,17-Triquinone; Serrawettin W2
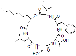
Molecular Structure CAS#: 140909-80-4, (3S,6R,12S,15R)-3-[(2S)-Butan-2-Yl]-19-Heptyl-9-(1-Hydroxyethyl)-12-(Hydroxymethyl)-15-(2-Methylpropyl)-6-(Phenylmethyl)-1-Oxa-4,7,10,13,16-Pentazacyclononadecane-2,5,8,11,14,17-Hexone
Molecular Formula C38H61N5O9
Molecular Weight 731.93
CAS Registry Number 140909-80-4
SMILES [C@H]1(NC(=O)[C@H](NC(=O)C(NC(=O)[C@@H](NC(=O)[C@H](NC(=O)CC(OC1=O)CCCCCCC)CC(C)C)CO)[C@H](O)C)CC2=CC=CC=C2)[C@H](CC)C
InChI 1S/C38H61N5O9/c1-7-9-10-11-15-18-27-21-31(46)39-28(19-23(3)4)34(47)41-30(22-44)36(49)43-33(25(6)45)37(50)40-29(20-26-16-13-12-14-17-26)35(48)42-32(24(5)8-2)38(51)52-27/h12-14,16-17,23-25,27-30,32-33,44-45H,7-11,15,18-22H2,1-6H3,(H,39,46)(H,40,50)(H,41,47)(H,42,48)(H,43,49)/t24-,25+,27?,28+,29+,30-,32-,33?/m0/s1
InChIKey JJJUZZODDZXKCZ-XVPNFOEFSA-N
Properties
Density 1.081g/cm3 (Cal.)
Boiling point 1061.054°C at 760 mmHg (Cal.)
Flash point 595.504°C (Cal.)
Market Analysis Reports
List of Reports Available for (3S,6R,12S,15R)-3-[(2S)-Butan-2-Yl]-19-Heptyl-9-(1-Hydroxyethyl)-12-(Hydroxymethyl)-15-(2-Methylpropyl)-6-(Phenylmethyl)-1-Oxa-4,7,10,13,16-Pentazacyclononadecane-2,5,8,11,14,17-Hexone
Related Products
alpha-[[(3-Methoxypropyl)Amino]Methyl]-a...  1-Phenyl-3-(Methylamino)-2-Butene-1-One  Propan-2-Yl N-[3-Methyl-1-[[(1S)-1-(4-Me...  2-[2-(2-Amino-2-Oxoethyl)Heptanoyl]-1-Hy...  2-[3-[(5,7-Difluoro-1,3-Benzothiazol-2-Y...  2-[4-Oxo-3-[[5-(Trifluoromethyl)-1,3-Ben...  Calcium-40  Cobalt-56  Balhimycin  (E)-N-[2-[[2-[[(2S)-1-[[(2S)-1-[(2-Amino...  Sodium 2-[(2,6-Diethylphenyl)-(Methoxyme...  2-(2-Furyl)-5-Phenyl-1,3,4-Oxadiazole  Tert-Butyl Methyl Sulfoxide  2-Methyl-2-Methylsulfonyl-Propane  2-(Ethenylthio)-2-Methyl-Propane