Online Database of Chemicals from Around the World

L-Lysyl-L-glutaminyl-L-asparaginyl-L-cysteinyl-L-leucyl-L-seryl-L-seryl-L-arginyl-L-alanyl-L-seryl-L-phenylalanyl-L-arginylglycyl-L-cysteinyl-L-valyl-L-arginyl-L-asparaginyl-L-leucyl-L-arginyl-L-leucyl-L-seryl-L-arginine
[CAS# 141627-61-4]

Suppliers
CAS#: 141627-61-4
Product: L-Lysyl-L-glutaminyl-L-asparaginyl-L-cysteinyl-L-leucyl-L-seryl-L-seryl-L-arginyl-L-alanyl-L-seryl-L-phenylalanyl-L-arginylglycyl-L-cysteinyl-L-valyl-L-arginyl-L-asparaginyl-L-leucyl-L-arginyl-L-leucyl-L-seryl-L-arginine
No suppilers available for the product.
Identification
Name L-Lysyl-L-glutaminyl-L-asparaginyl-L-cysteinyl-L-leucyl-L-seryl-L-seryl-L-arginyl-L-alanyl-L-seryl-L-phenylalanyl-L-arginylglycyl-L-cysteinyl-L-valyl-L-arginyl-L-asparaginyl-L-leucyl-L-arginyl-L-leucyl-L-seryl-L-arginine
Synonyms L-Arginine, L-Lysyl-L-Glutaminyl-L-Asparaginyl-L-Cysteinyl-L-Leucyl-L-Seryl-L-Seryl-L-Arginyl-L-Alanyl-L-Seryl-L-Phenylalanyl-L-Arginylglycyl-L-Cysteinyl-L-Valyl-L-Arginyl-L-Asparaginyl-L-Leucyl-L-Arginyl-L-Leucyl-L-Seryl-; L-Lysyl-L-Glutaminyl-L-Asparaginyl-L-Cysteinyl-L-Leucyl-L-Seryl-L-Seryl-L-Arginyl-L-Alanyl-L-Seryl-L-Phenylalanyl-L-Arginylglycyl-L-Cysteinyl-L-Valyl-L-Arginyl-L-Asparaginyl-L-Leucyl-L-Arginyl-L-Leucyl-L-Seryl-L-Arginine; Laminin-Derived Peptide, Gd-6
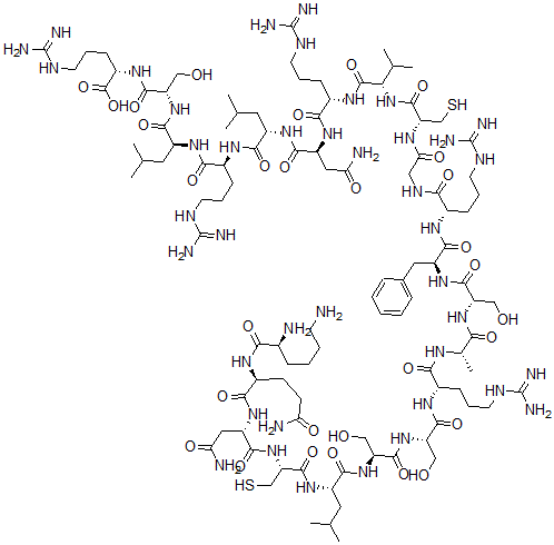
Molecular Structure CAS#: 141627-61-4, L-Lysyl-L-glutaminyl-L-asparaginyl-L-cysteinyl-L-leucyl-L-seryl-L-seryl-L-arginyl-L-alanyl-L-seryl-L-phenylalanyl-L-arginylglycyl-L-cysteinyl-L-valyl-L-arginyl-L-asparaginyl-L-leucyl-L-arginyl-L-leucyl-L-seryl-L-arginine
Molecular Formula C104H183N41O30S2
Molecular Weight 2551.97
CAS Registry Number 141627-61-4
SMILES [C@@H](N)(C(=O)N[C@H](C(=O)N[C@H](C(N[C@H](C(N[C@H](C(N[C@H](C(N[C@H](C(N[C@H](C(=O)N[C@@H](C)C(N[C@H](C(=O)N[C@H](C(N[C@H](C(=O)NCC(=O)N[C@H](C(=O)N[C@H](C(N[C@H](C(=O)N[C@H](C(N[C@H](C(=O)N[C@H](C(N[C@H](C(=O)N[C@H](C(N[C@H](C(=O)O)CCCNC(N)=N)=O)CO)CC(C)C)=O)CCCNC(N)=N)CC(C)C)=O)CC(=O)N)CCCNC(N)=N)=O)C(C)C)CS)CCCNC(N)=N)=O)CC1=CC=CC=C1)CO)=O)CCCNC(N)=N)=O)CO)=O)CO)=O)CC(C)C)=O)CS)=O)CC(=O)N)CCC(=O)N)CCCCN
InChI 1S/C104H183N41O30S2/c1-49(2)36-62(86(161)130-58(25-17-33-122-102(114)115)83(158)134-63(37-50(3)4)87(162)141-70(45-148)93(168)133-61(99(174)175)27-19-35-124-104(118)119)135-90(165)66(40-75(108)151)138-84(159)59(26-18-34-123-103(116)117)132-98(173)78(52(7)8)145-97(172)72(47-176)127-77(153)42-125-81(156)56(23-15-31-120-100(110)111)129-89(164)65(39-54-20-11-10-12-21-54)137-94(169)68(43-146)140-79(154)53(9)126-82(157)57(24-16-32-121-101(112)113)131-92(167)69(44-147)143-95(170)71(46-149)142-88(163)64(38-51(5)6)136-96(171)73(48-177)144-91(166)67(41-76(109)152)139-85(160)60(28-29-74(107)150)128-80(155)55(106)22-13-14-30-105/h10-12,20-21,49-53,55-73,78,146-149,176-177H,13-19,22-48,105-106H2,1-9H3,(H2,107,150)(H2,108,151)(H2,109,152)(H,125,156)(H,126,157)(H,127,153)(H,128,155)(H,129,164)(H,130,161)(H,131,167)(H,132,173)(H,133,168)(H,134,158)(H,135,165)(H,136,171)(H,137,169)(H,138,159)(H,139,160)(H,140,154)(H,141,162)(H,142,163)(H,143,170)(H,144,166)(H,145,172)(H,174,175)(H4,110,111,120)(H4,112,113,121)(H4,114,115,122)(H4,116,117,123)(H4,118,119,124)/t53-,55-,56-,57-,58-,59-,60-,61-,62-,63-,64-,65-,66-,67-,68-,69-,70-,71-,72-,73-,78-/m0/s1
InChIKey NETAVRUBICKBPB-IOQQUYLGSA-N
Market Analysis Reports
List of Reports Available for L-Lysyl-L-glutaminyl-L-asparaginyl-L-cysteinyl-L-leucyl-L-seryl-L-seryl-L-arginyl-L-alanyl-L-seryl-L-phenylalanyl-L-arginylglycyl-L-cysteinyl-L-valyl-L-arginyl-L-asparaginyl-L-leucyl-L-arginyl-L-leucyl-L-seryl-L-arginine
Related Products
2-D-serine-5-L-arginine-6-((2S,4E,6E,8S,...  1-(N-methylserine)-5-L-arginine-6-((2S,4...  2-(Ethyliminomethylideneamino)-N,N-Dimet...  (2S)-N-(2-Aminoacetyl)-2-[[(3R)-1-Chloro...  [3S-(3alpha,5alpha,8alpha)]-1-Methyl-1-(...  (+/-)-trans-1,2-Cyclohexanedicarboxylic ...  2-(7-Oxabicyclo(2.2.1)heptane-2-exo,3-ex...  3-Tert-Butyl-1-Methylpyrazole  5-Tert-Butyl-1-Methylpyrazole  3,5-Ditert-Butyl-1-Methylpyrazole  3,5-Ditert-Butyl-1,4-Dimethylpyrazole  N,N'-Bis(Salicylidene)Ethylenediaminonic...  2-[[2,4-Dioxo-5-[[3-[[4-(Phenylmethoxy)P...  [(2R,3S,4R)-3,4-Dihydroxy-5-(6-Oxo-3H-Pu...  N-Tetratriacontane