Online Database of Chemicals from Around the World

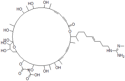
3-[[(13E,15Z,21E,23E)-1,3,7,9,11,25,27,29,35,36-十羟基-4,8,12,20,24,26-六甲基-19-[(E)-10-[(N'-甲基甲脒基)氨基]癸-6-烯-2-基]-17-氧代-18,37-二氧杂双环[31.3.1]三十七碳-13,15,21,23-四烯-31-基]氧基]-3-氧代丙酸
[CAS# 143906-47-2]

供应商
CAS#: 143906-47-2
产品: 3-[[(13E,15Z,21E,23E)-1,3,7,9,11,25,27,29,35,36-十羟基-4,8,12,20,24,26-六甲基-19-[(E)-10-[(N'-甲基甲脒基)氨基]癸-6-烯-2-基]-17-氧代-18,37-二氧杂双环[31.3.1]三十七碳-13,15,21,23-四烯-31-基]氧基]-3-氧代丙酸
暂时没有厂家供应该产品。
基本信息
产品名称 3-[[(13E,15Z,21E,23E)-1,3,7,9,11,25,27,29,35,36-十羟基-4,8,12,20,24,26-六甲基-19-[(E)-10-[(N'-甲基甲脒基)氨基]癸-6-烯-2-基]-17-氧代-18,37-二氧杂双环[31.3.1]三十七碳-13,15,21,23-四烯-31-基]氧基]-3-氧代丙酸
英文名 3-[[(13E,15Z,21E,23E)-1,3,7,9,11,25,27,29,35,36-Decahydroxy-4,8,12,20,24,26-Hexamethyl-19-[(E)-10-[(N'-Methylcarbamimidoyl)Amino]Dec-6-En-2-Yl]-17-Oxo-18,37-Dioxabicyclo[31.3.1]Heptatriaconta-13,15,21,23-Tetraen-31-Yl]Oxy]-3-Oxopropanoic Acid
别名 3-[[(13E,15Z,21E,23E)-1,3,7,9,11,25,27,29,35,36-Decahydroxy-4,8,12,20,24,26-Hexamethyl-19-[(E)-1-Methyl-9-[(N'-Methylcarbamimidoyl)Amino]Non-5-Enyl]-17-Oxo-18,37-Dioxabicyclo[31.3.1]Heptatriaconta-13,15,21,23-Tetraen-31-Yl]Oxy]-3-Oxo-Propanoic Acid; 3-[[(13E,15Z,21E,23E)-19-[(E)-9-[(Amino-Methyliminomethyl)Amino]-1-Methylnon-5-Enyl]-1,3,7,9,11,25,27,29,35,36-Decahydroxy-4,8,12,20,24,26-Hexamethyl-17-Oxo-18,37-Dioxabicyclo[31.3.1]Heptatriaconta-13,15,21,23-Tetraen-31-Yl]Oxy]-3-Oxopropanoic Acid; 3-[[(13E,15Z,21E,23E)-1,3,7,9,11,25,27,29,35,36-Decahydroxy-17-Keto-4,8,12,20,24,26-Hexamethyl-19-[(E)-1-Methyl-9-[(N'-Methylcarbamimidoyl)Amino]Non-5-Enyl]-18,37-Dioxabicyclo[31.3.1]Heptatriaconta-13,15,21,23-Tetraen-31-Yl]Oxy]-3-Keto-Propionic Acid
分子结构 CAS 登录号:143906-47-2, 3-[[(13E,15Z,21E,23E)-1,3,7,9,11,25,27,29,35,36-十羟基-4,8,12,20,24,26-六甲基-19-[(E)-10-[(N'-甲基甲脒基)氨基]癸-6-烯-2-基]-17-氧代-18,37-二氧杂双环[31.3.1]三十七碳-13,15,21,23-四烯-31-基]氧基]-3-氧代丙酸
分子式 C56H95N3O17
分子量 1082.38
CAS 登录号 143906-47-2
分子行输入简码 SMILES C(C(OC2CC1OC(O)(C(O)C(O)C1)CC(O)C(CCC(O)C(C(O)CC(O)C(C)\C=C\C=C/C(OC(C(CCC\C=C\CCCNC(N)=NC)C)C(\C=C\C=C(C(O)C(C(O)CC(O)C2)C)/C)C)=O)C)C)=O)C(O)=O
国际化学标识码 InChI 1S/C56H95N3O17/c1-33-18-14-15-22-50(69)75-53(36(4)19-13-11-9-10-12-16-25-59-55(57)58-8)37(5)21-17-20-35(3)52(71)39(7)45(63)27-40(60)26-41(74-51(70)31-49(67)68)28-42-29-47(65)54(72)56(73,76-42)32-48(66)34(2)23-24-43(61)38(6)46(64)30-44(33)62/h9-10,14-15,17-18,20-22,33-34,36-48,52-54,60-66,71-73H,11-13,16,19,23-32H2,1-8H3,(H,67,68)(H3,57,58,59)/b10-9+,18-14+,21-17+,22-15-,35-20+
国际化学标识检索码 InChIKey LTUWJYTYKHHVPU-RNIVMLCHSA-N
市场分析报告
请浏览3-[[(13E,15Z,21E,23E)-1,3,7,9,11,25,27,29,35,36-十羟基-4,8,12,20,24,26-六甲基-19-[(E)-10-[(N'-甲基甲脒基)氨基]癸-6-烯-2-基]-17-氧代-18,37-二氧杂双环[31.3.1]三十七碳-13,15,21,23-四烯-31-基]氧基]-3-氧代丙酸市场分析报告总目录
相关产品
碲125  镁[2-[甲基-[(3E,7E)-4,8,12-三...  镓69    铼187  溴托齐林  2-甲基-1-硝基-3-亚硝基苯  (3-氨基-2-甲基苯基)-(3-氨基-2-甲基苯...  3-(3-氨基-2-甲基苯基)偶氮-2-甲基苯胺  (3-乙酰基-4-氨基-2-甲基苯基)-(3-乙酰...  1-[3-(3-乙酰基-4-氨基-2-甲基苯基)偶...  4H-环戊二烯并(def)屈-4-醇  4-羟基辛基苯甲酮  N-丁烷-2-基-1-[5-[(3',6'-二羟基...  三(2-氰基乙基)氧膦