Online Database of Chemicals from Around the World

纽莫康定D(0)
[CAS# 144087-99-0]

供应商
CAS#: 144087-99-0
产品: 纽莫康定D(0)
暂时没有厂家供应该产品。
基本信息
产品名称 纽莫康定D(0)
英文名 Pneumocandin D(0)
别名 Aids027829; Pneumocandin Do; Pneumocandin D(0)
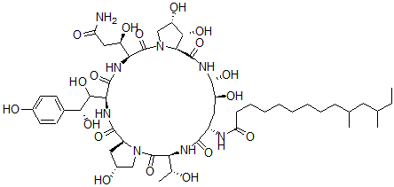
分子结构 CAS 登录号:144087-99-0, 纽莫康定D(0)
分子式 C50H80N8O18
分子量 1081.22
CAS 登录号 144087-99-0
分子行输入简码 SMILES [C@@H]14N(C(=O)[C@@H](NC(=O)[C@@H](NC(=O)[C@H]2N(C(=O)[C@@H](NC(=O)[C@@H](NC(=O)CCCCCCCCC(CC(CC)C)C)C[C@H](O)[C@@H](O)NC1=O)[C@H](O)C)C[C@H](O)C2)C(O)[C@H](O)C3=CC=C(O)C=C3)[C@H](O)CC(=O)N)C[C@H](O)[C@@H]4O
国际化学标识码 InChI 1S/C50H80N8O18/c1-5-24(2)18-25(3)12-10-8-6-7-9-11-13-36(66)52-30-20-33(63)46(72)56-48(74)40-42(68)34(64)23-58(40)50(76)38(32(62)21-35(51)65)54-47(73)39(43(69)41(67)27-14-16-28(60)17-15-27)55-45(71)31-19-29(61)22-57(31)49(75)37(26(4)59)53-44(30)70/h14-17,24-26,29-34,37-43,46,59-64,67-69,72H,5-13,18-23H2,1-4H3,(H2,51,65)(H,52,66)(H,53,70)(H,54,73)(H,55,71)(H,56,74)/t24?,25?,26-,29-,30+,31+,32-,33+,34+,37+,38+,39+,40+,41-,42+,43?,46-/m1/s1
国际化学标识检索码 InChIKey QDHVQAJPCGRBRI-ULQDJTMQSA-N
市场分析报告
请浏览纽莫康定D(0)市场分析报告总目录
相关产品
二(2-氯乙基)铵六氯锡酸盐  [(1,1-二氧代-3-四氢噻吩基)氨基]二硫代甲...  萘-1,4,5,8-四羧酸四锂盐  2-[(4-甲氧基苯基)甲基]-3,4-二甲基吡喃...  3,4-二甲基-2-(噻吩-2-基甲基)吡喃并[6...  ((2,3,7,8,12,13,17,18)-八乙...  二(N,N-二甲基氨基)-五氯-苯基磷酸酯  原焦脱镁叶绿酸A  八-缬氨霉素  五氯苯酚乙酸酯  2-[[(3S,10R,13R,17R)-10,1...  2,2,3,4,4-五氟氧杂环丁烷  12,13,14,14alpha-四氢-13-乙酰...  1-硝基-2-苯基磺酰基苯  刺嫩芽皂甙F